Coucou,
Il s'agit en effet d'un errata de notre part, je t'invite à aller voir le post suivant :
https://forum.tutotours.fr/viewtopic.php?f=116&t=2612
Je te fait un petit point de cours pour que ce soit plus clair pour toi :

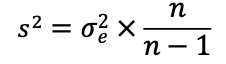
Il faut bien différencier
variance observée noté σ
e et
variance estimée s^2.

Lorsque tu ne connais pas s^2, tu peux la calculer à partir de σ
e grâce à la formule suivante :

- Capture d’écran 2021-04-29 à 14.34.43.png (5.04 Kio) Consulté 6004 fois
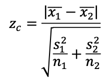
Ainsi, dans ce qcs, les σ
p étaient
inconnus et
n1 et n2 >30, après avoir estimer tes variances grâce à la formule précédente, il fallait utiliser la formule suivante :

- Capture d’écran 2021-04-29 à 14.36.36.png (8.79 Kio) Consulté 6004 fois
Une fois zc obtenu, il faut regarder dans la table de la loi Normale, comparer et conclure.
J'espère que c'est plus clair et nous sommes navrés de l'errata

n'hésites pas si tu as d'autres questions
Toute la team t'envoies plein de courage et ne lâche rien <333