Salut Hu Go !
En effet, la pression est
proportionnelle à la résistance. Ainsi, lorsque ta résistance augmente la pression augmente également.
Pour t’expliquer tout ça je vais te rappeler quelques notions :
Rappel 1 :
Une pression peut s’exprimer comme :

Une
énergie s’exerçant sur un volume, ce qui revient à l’exprimer en J.m^-3

- Une
force s’exerçant sur une surface, ce qui revient à l’exprimer en N.m^-2
Par exemple : La force qu’exerce le sang sur les parois des vaisseaux
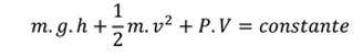
Rappel 2 :
La résistance s’exprime par la formule :

- resistance.PNG (1.07 Kio) Consulté 2390 fois
avec η la viscosité du sang, l la longueur du vaisseau et r le rayon du vaisseau.
Ainsi, la résistance évolue
proportionnellement à la viscosité et la longueur. Cependant elle est
inversement proportionnelle au rayon.
Donc, si on prend l’exemple du rayon, lorsque le rayon d’un vaisseau diminue :

Sa résistance augmente

La surface et le volume de ce vaisseau diminuent. Ainsi, le rapport force sur surface ou énergie sur volume augmente. Donc la pression augmente.
Ainsi on a bien montré que
si les résistances augmentent la pression augmente également.
L’affirmation « Une diminution trop importance de la résistance et donc de la pression peut être très dangereuse comme c'est le cas pour un collapsus » est donc vraie.
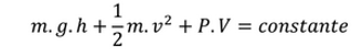
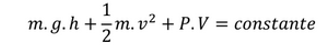
La loi de Bernoulli peut s’exprimer comme une
somme d’énergies :

- formule 1.PNG (6.41 Kio) Consulté 2390 fois
Elle peut également s’exprimer comme une
somme de pressions :

- forumule 2.PNG (5.85 Kio) Consulté 2390 fois
Pour rappel : [P]=([E])/([Vol])
Ainsi d’après la loi de Bernoulli, l
’énergie totale est
constante mais également la
pression totale.
Si la section diminue, l’énergie cinétique augmente pour conserver le débit. Pour conserver l’énergie totale, l’énergie de pression diminue.

NB : On peut reformuler ces phrases en remplaçant énergie par pression.
Ainsi, il faut comprendre qu’une partie de tes pressions sont modifiés mais la
pression totale est quant à elle maintenue dans des conditions physiologiques.
Ainsi, quand le Pr Roumy dit que lorsque la résistance augmente, la pression augmente, il en parle sans prendre en compte l’adaptation de ton organisme à cette modification de pression. Physiologiquement, ton organisme s’adaptera afin de garder une pression constante : c’est
l’homéostasie.
Enfin, une sténose est un rétrécissement du vaisseau. Donc, son rayon diminue et comme vu plus haut cela entraîne une a
ugmentation de la résistance et donc de la pression.
A propos de l'orthostatisme
Lors du passage de la position allongée à la position debout, on observe :

Une
augmentation du gradient de pression hydrostatique avec mise en jeu des résistances artérielles pour maintenir la PA
En effet, lorsque tu te mets debout, le sang par l’action de la gravité va avoir tendance à descendre au niveau des membres inférieurs.
On considère que les veines ont un comportement
capacitif contrairement aux artères qui ont un comportement
résistif. Ainsi, les artères ne vont pas se déformer : les résistances artérielles vont
compenser l’augmentation du gradient de pression hydrostatique et vont ainsi
maintenir un débit constant.
Le professeur ne précise pas quelles parties du corps voient leur résistance augmenter mais tu as raison, les résistances des membres inférieures augmentent pour ne pas se laisser déformer mais surtout pour garantir un débit contant (ton cerveau doit toujours être irrigué !!).
Pour rappel : Lors du passage de la position allongée à la position debout, on observe aussi :
- Une diminution du calibre des veines de la région céphalique et thoracique haute
- Une augmentation du calibre des veines de la région thoracique basse et des membres inférieurs
- Une augmentation de la fréquence cardiaque, on parle d’effet chronotrope positif
Concernant l’impédance :
Pour rappel, l’impédance est
l’inverse de la résistance.
Il s’agit d’un phénomène physiologique qui permet de calculer la manière dont va s’écouler la colonne de sang. Ce terme est adapté aux gros vaisseaux.

Ce terme est donc adapté à l’aorte car il s’agit du plus gros vaisseau de l’organisme.
Voila j'espère que c'est clair, bon courage <3