Salut CM_37 !
Je comprends ta question, je vais donc t'expliquer pourquoi on ne la prend pas en compte !
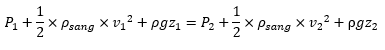
La formule de Bernoulli est bien :

- Formule de Bernoulli.PNG (2.36 Kio) Consulté 3937 fois
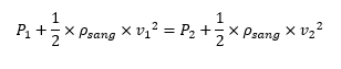
Dans l'exercice, il est dit que le patient souffre d'une sténose au niveau des artères coronaires, donc au niveau du cœur.
La différence de hauteur entre le sang en amont et en aval de la sténose est ainsi considérée négligeable, car elle est trop faible.
Dans l'équation, cela donne :

- Energie potentielle.PNG (756 octets) Consulté 3937 fois
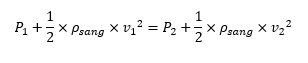
On peut donc annuler de part et d'autre de l'équation initiale qui devient alors :

- Formule de Bernouilli - Cas d'une sténose à hauteur constante.PNG (1.9 Kio) Consulté 3937 fois
J'espère que ma réponse est claire ! Si tu as d'autres questions, n'hésite pas à nous les poser !
Plein de courage de toute la team et bonnes révisions !