Saluuut, c'est en fait la distance qui est égal à

- Capture d’écran 2020-10-11 à 14.03.36.png (5.52 Kio) Consulté 2278 fois
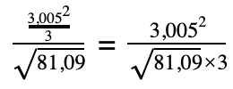
La tortue ayant parcouru "
le tiers d'une piste de 3,005^2 m", on a distance =

- Capture d’écran 2020-10-11 à 14.03.36.png (5.52 Kio) Consulté 2278 fois
et temps =

- Capture d’écran 2020-10-11 à 14.01.05.png (6.47 Kio) Consulté 2278 fois
. Donc, vitesse =

- Capture d’écran 2020-10-11 à 14.03.13.png (10.86 Kio) Consulté 2278 fois
J'espère avoir pu te répondre, sinon la team physico chimie est et sera toujours la pour répondre à tes questions, n'hésites surtout pas à en poser

. ( n'oublie pas de passer le post en résolu

)