Coucou !
C’est une très bonne question car il est important de savoir quelle loi appliquer selon l’énoncé.
Premièrement, tu dois commencer par repérer les informations importantes de l’énoncé qui vont te permettre de déterminer quelle loi utiliser. Pour cela, tu dois connaître les paramètres de chaque loi et savoir les repérer dans un énoncé :
- nombre d’essais et probabilité de l’événement élémentaire pour la loi Binomiale ;
- nombre moyen d’événements au cours d’un intervalle pour la loi de Poisson ;
- espérance et écart-type pour la loi Normale.
Dans cet exemple, il y a 2 informations importantes : « la probabilité élémentaire de 1/3 » et « en 4 essais ». En effet, ce sont les 2 paramètres de la loi Binomiale :
- n : le nombre d’essais
- p : la probabilité de succès de l’événement élémentaire
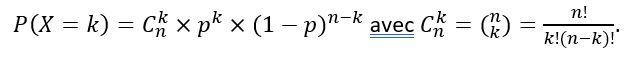
Deuxièmement, tu en déduis que la variable aléatoire X suit une loi de probabilités et tu peux calculer la probabilité demandée en te servant des formules de ces lois. Ces formules ne sont pas à connaître par cœur car tu auras un formulaire, le jour de l’épreuve.
Dans cet exemple, la variable aléatoire X correspond au nombre de succès à l’issue des n essais et suit une loi Binomiale de paramètres n et p, ce qui s’écrit aussi X ~ B(n,p). Ainsi, tu peux calculer la probabilité d’avoir k succès par la formule de la loi Binomiale :

- 1.JPG (14.09 Kio) Consulté 2479 fois
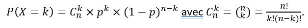
Enfin, il ne te reste plus qu’à adapter les paramètres de la loi Binomiale à l’exemple : X ~ B(4,1/3) et à calculer la probabilité d’avoir 2 succès :

- 2.JPG (17.6 Kio) Consulté 2479 fois
J’espère que c’est plus clair pour toi à présent.
Bon courage <3
La team Biostats