Salut,
Afin de répondre à ta question, je vais refaire la dernière ligne de calcul avec toi.
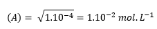
Donc tout d'abord, on trouve que

- Capture d’écran 2022-11-27 143315.png (1.69 Kio) Consulté 4193 fois
Or en effet, 1L = 10^-3 m^3
Cependant,

- Capture d’écran 2022-11-27 143654.png (1.73 Kio) Consulté 4193 fois
et comme 1/10^-3 = 10^3
Alors

- Capture d’écran 2022-11-27 143838.png (1.46 Kio) Consulté 4193 fois
Il suffit ensuite de multiplier par 0,01 = 10^-2 ce qui donne bien 10 mol.m^-3.
J'espère avoir répondu à ta question et t'avoir aidé
La biophysique te souhaite bon courage !!
