Salut

! On va voir ces deux QCM de plus près.
Pour ta première question :
En ce qui concerne le premier QCM, il est demandé de trouver une formule pertinente de la puissance parmi plusieurs propositions (donc une formule qui donne un résultat ayant la même dimension que la puissance)
On a dans l'énoncé plusieurs variables, dont :
ρ : la masse volumique (de dimension M.L^-3)
θ :la température (de dimension θ)
t : le temps (de dimension T)
h : la hauteur du geyser (de dimension L)
Puis une constante c (sans dimension, attention de ne pas tomber dans le piège : ici c n'est pas une vitesse !!)
Pour rappel, la puissance a une dimension M.L^2.T^-3.
Il y a deux techniques qui te permettent de trouver la réponse au QCS :
1) Tu peux vérifier la dimension de chaque formule proposée dans les items
2) Tu peux chercher les puissances de chaque variable qui feront une formule donnant une puissance
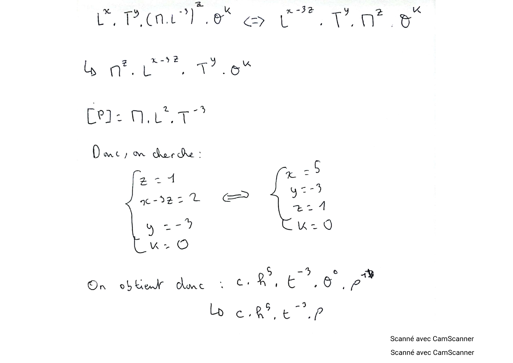
Je vais t'expliquer la deuxième méthode :
Tout d'abord, on a une formule de la forme c.h^x.t^y.θ^k.ρ^z
On a donc une formule de dimension L^x.T^y.(M.L^-3)^z.θ^k, et nous on veut du M.L^2.T^-3 (pour obtenir une puissance)
Maintenant pour trouver les valeurs de x,y,z et k :

- Image 1_page-0001.jpg (201.17 Kio) Consulté 4772 fois
La formule suivante : c.h5.t−2.ρ n'est pas une puissance (et est de dimension M.L^2.T^-2)
Maintenant pour ta deuxieme question :
Ici on utilise la masse volumique du coca et non pas celle de l'air car le geyser ici est sourcé de coca et non pas de l'air
J'espère t'avoir éclairé sur tes interrogations, n'hésite pas à nous relancer si tu as mal compris quelque chose, à venir nous voir en perm tuteur ou en fin de colle !
Toute l'équipe de biophysique te souhaite un bon début de semestre !!
