Salut,
Ta question était : Comment agit l'histidine E7 afin de gêner la molécule de CO fixé à l'hème en réduisant son affinité ?
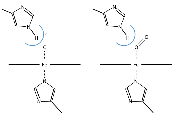
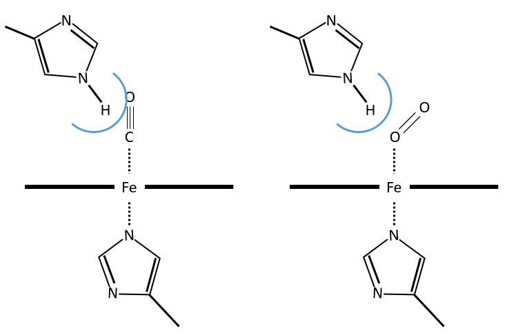
Je te refais un petit point cours avec l’O2 d’abord :
Le fer établit une
liaison de coordination avec
l’histidine proximale (HIS 8). Cela permet d’ancrer l’hème au sein de l’hémoglobine.
La molécule d’O2 liée au fer II établit une
liaison hydrogène avec une seconde histidine appelée
histidine distale (His E7). Elle permet de stabiliser la
liaison fer-oxygène et de moduler l’accessibilité de l’O2.
À propos de la molécule de CO :
À cause de l
’organisation de ses doublets d’électrons, le CO se dispose selon un
angle non vertical qui
défavorise sa liaison hydrogène.
En effet, celle-ci est moins stable quand les atomes ne sont
pas alignés. (voir sur le schéma)
Lors de la fixation du dioxygène, la liaison hydrogène est optimisée car elle s’effectue dans l’
axe de la molécule.
C’est pourquoi l’histidine distale (E7)
divise par 125 l’affinité du CO pour l’hème.
Conclusion :
L’oxygène se fixe fortement à l’Hb de façon à former un angle. Cet
angle est vital. Il explique l’affinité de l’Hb pour l’O2.

- bioc63.png (18.82 Kio) Consulté 3072 fois
J’espère avoir su répondre à ta question. Bon courage de la team bioch 2022
