Salut Eric !!
Ce sont des nouvelles notions donc c'est normal si tu comprends pas tout tout de suite mais on va reprendre ça ensemble, j'espère que ce sera plus clair
Pour commencer, il faut que tu saches qu'
un gradient est composé de plusieurs dérivées partielles. Les dérivées partielles concernent les fonctions à
plusieurs variables. Quand tu calcules la dérivée partielle en fonction d'une des variables tu considères les autres comme des constantes. Voici un exemple qui illustrera un peu mieux mes propos :
On considère la fonction

- Capture d’écran 2023-09-26 à 14.20.32.png (9.65 Kio) Consulté 1456 fois
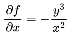
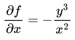
Pour calculer son gradient, on dérive en 1er temps la fonction en s'intéressant uniquement à x.
Pour t'aider tu peux imaginer que y et z sont égaux à des chiffres quelconques. On a donc (sachant que le d rond symbolise une dérivée partielle) :

- Capture d’écran 2023-09-26 à 14.23.27.png (13.87 Kio) Consulté 1456 fois
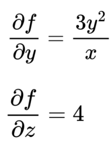
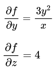
Puis en fonction de y et ensuite de z :

- Capture d’écran 2023-09-26 à 14.28.01.png (21.2 Kio) Consulté 1456 fois
Il faut bien que tu revoies tes dérivées usuelles pour que tes calculs de gradients aillent beaucoup plus vite
Et la biophysique c'est surtout de l'entraînement donc faudra que t'enchaînes les QCM sur tHarmo jusqu'à ce que ça rentre
Voilà j'espère que c'est plus clair pour toi si non n'hésite pas à me relancer et surtout à passer aux perms tuteurs le mercredi !
Tout l'équipe de biophy te souhaite bon courage !!
