Saluuuuuuuut Meryl

,
Deux notions sont à comprendre pour pourvoir passer de la première formule à la deuxième.
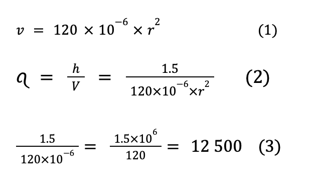
La première est la démonstration (à ne pas apprendre) que Pr.Patat fait à la diapo d'avant. Dans celle-ci, on trouve une relation entre la vitesse de la gouttelette et son rayon (cf. la première pj). En utilisant les données du Pr.Patat tu trouves ensuite : v = 120*10^-6*r^2 (1).

- Capture d’écran 2023-10-01 à 19.02.09.png (199.5 Kio) Consulté 1110 fois
Ouffff la première partie du raisonnement est finis, on est trop fort

!
Ensuite, il faudra que tu appliques les règles mathématiques de la division afin que tu puisses passer de la première formule à la seconde :
En effet, la durée de vie d'une goute correspond à h/V avec h la hauteur et V la vitesse. Pr.Patat nous donne h = 1.5m. De plus, on peu utilisé la relation (1) afin de remplacer V.
On arrive donc à ꪖ = h/V = 1.5/120*10^{-6}*r^2 (2). La subtilité à voir est que 1.5/120^-6 = 1.5*10^6/120=12 500 (3).
Et voila finito

, on trouve bien notre seconde relation et les résultats en dessous.

- Capture d’écran 2023-10-01 à 19.46.43.png (28.81 Kio) Consulté 1110 fois
J'espere que cette réponse à pu eclairessire ce point de cours.
A la prochaine

,
Joan P
Ps : Pr.Patat mets l'accent dans son cours sur la compréhension et la capacité de réutiliser son cours dans d'autres situations. Maitriser par cœur les démonstrations n'est pas le but premier de son cours.