Salut Lucie !!
Pas de problème on va reprendre
étape par étape ensemble.

- IMG_5454.jpeg (89.34 Kio) Consulté 1598 fois
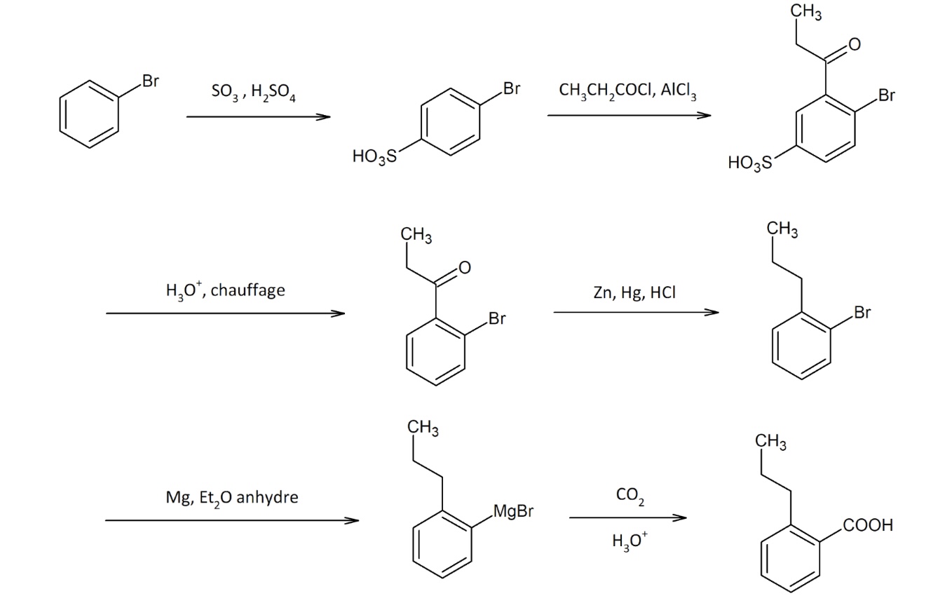
En
1) Il est possible d’observer une
réaction de sulfonation. On va donc placer le groupement
-SO3H en
PARA du brome car celui ci est
+M.
En
2) Cette réaction s’agit d’une
acylation de Friedels et Craft. On va donc placer le groupement
acyle en
META du SO3H car celui ci est
-M et en
ORTHO du brome
( +M).
En
3) Cette réaction est une
désulfonation , permettant d’enlever le groupement
SO3H.
NB: La professeure utilise H2SO4, H2O dans son cours mais c’est équivalent à H3O+, chauffage, elle ne vous piégera pas la dessus
En
4) C’est une
réduction de Clemmensen, elle permet de
réduire le groupement carbonyle de la cétone.
Rappel : La réduction de
Clemmensen est équivalente à la réaction de
Wolff-Kishner et permet de réduire seulement les carbonyles des
aldehydes et cétones.
En
5) C’est une
formation d’organomagnésien, c’est à dire qu’on va
rajouter un Mg sur le groupement brome.
En
6) C’est une
formation d’acide carboxylique à partir d’un organomagnésien, le groupement
MgBr devient donc
COOH.
J’espère que c’est tout bon pour toi !! N’hésites pas si tu as d’autres questions
Bon courage de toute la team Chimie Organique
