Coucou Flav !
Je vais faire en sorte de reprendre les grandes idées de ta question et de répondre à chacune d'entre-elles.
Tout d'abord concernant l'annélation de Robinson :
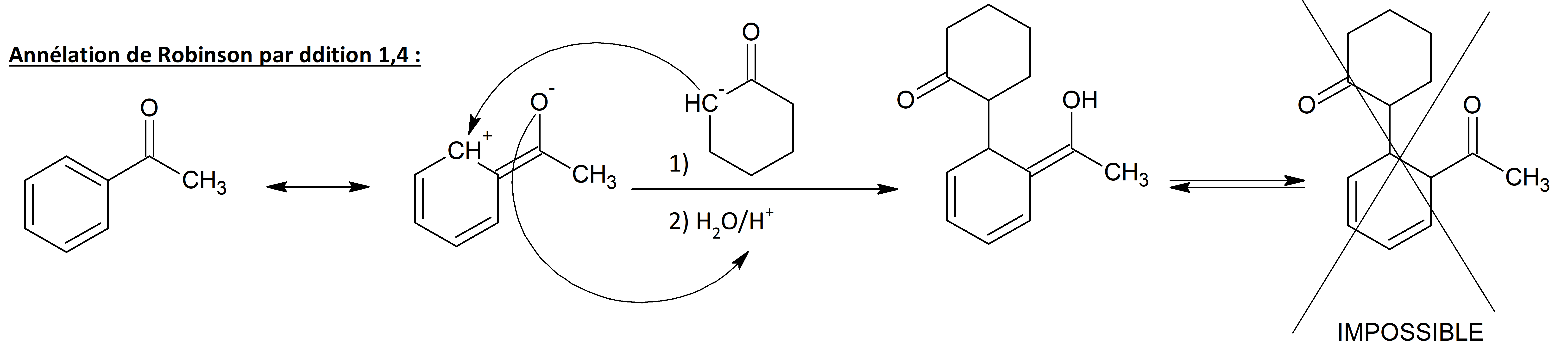
Celle-ci débute toujours par l'usage d'une base comme EtO-/EtOH sur un cyclohexanone. Le but est de générer le carbanion le plus stable possible en α du carbonyle.
Tu retrouves cette molécule au-dessus de la flèche dans la réaction ci-dessous. Ensuite tu as raison, il faut réaliser une addition 1,4 dite de Mikaël sur un carbonyle α,β-insaturé. Essayons d'utiliser un benzène doté d'une cétone en α du noyau aromatique comme tu l’as mentionné dans ta question :

- Réponse Forum Finale 3.png (241.42 Kio) Consulté 2724 fois
Ici ça ne fonctionne pas, mais pourquoi ?
Le benzène est un noyau aromatique extrêmement stable, en effet la délocalisation perpétuelle des doubles liaisons lui permet d'être "robuste". Or si tu réalises une addition 1,4 sur ce dernier, tu vas faire sortir l'une de ses doubles liaisons qui ne pourra jamais réintégrer le cycle. En gros, ça n'est pas intéressant pour lui car il est déstabilisé.
Tu dois donc retenir que le carbonyle porté en α d’un noyau aromatique n’est jamais considéré comme un carbonyle α,β-insaturé !
Qu'en est-il de la cétolisation :
Au contraire une addition 1,2 aurait pu être possible mais

ATTENTION

c'est un abus de langage. En effet, lors d'une cétolisation ou une aldolisation, tu va additionner des atomes sur l'oxygène et le carbone du carbonyle cependant pour que cela soit une addition 1,2
il te faudra avoir un carbonyle α,β-insaturé !

- Réponse Forum Finale 4.png (210.24 Kio) Consulté 2724 fois

Ici tu as bien une cétolisation, mais ce n’est pas une addition 1,2
car ta molécule initiale n’est pas une carbonyle α,β-insaturé.
Mais alors qu’est-ce qu’une cétone vinylique pour maîtresse ?
Attention tu dois travailler avec un carbonyle α,β-insaturé dans ces réaction dont voici la formule générale :

- Réponse Forum Finale 6.png (24.56 Kio) Consulté 2717 fois
La cétone vinylique est un carbonyle α,β-insaturé particulier de formule générale : CH2=CH-C(=O)-R.
J’espère avoir répondu à ta question ! En attendant toute la team ORGANIQUE te souhaite plein de courage <33333