Coucou !
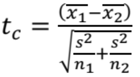
Cette formule permet de calculer la
variance commune (S^2) à partir des écart-types (s1^2 et s2^2) appartenant aux 2 groupes comparés (n1 et n2). La variance commune est nécessaire pour calculer le paramètre du test
tc du
test de Student. Je te joins la formule juste en dessous.

- Capture d’écran 2024-02-19 à 16.22.48.png (28.26 Kio) Consulté 2616 fois
Pour rappel, le test de Student est utilisé lorsque le test de Fischer a montré une différence non significative entre les moyennes observées.
J'espère que ma réponse t'a apporté les explications nécessaires, si non n'hésite pas à me relancer !
Je t'envoie beaucoup de force et courage pour la colle de ce soir
Biostatistreetement,
Diana
