- D50 = D0*log(2) ou D50=D0*ln(2) car dans le poly de formule il y a écrit avec log mais j’avais déjà posé la question et on m’a dit que c’était avec ln …
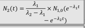
- voir photo : au numérateur c’est λ1 ou λ2 ? La photo vient de la colle sup et dans le poly c’est λ2 je crois …
- pour le qrm 9 de la colle sup, je ne comprends pas l’item E. « La dose létale moyenne est élevée si les cellules sont résistantes. » mais si les cellules sont résistantes, elles sont peu sensibles aux rayonnements sensibles donc survivent mieux ?
Merci beaucoup
