
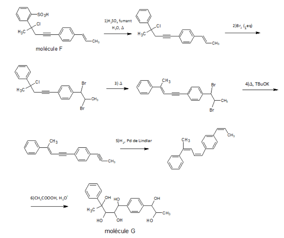
Je faisais un petit QCM (QCS en l'occurrence bref) et j'ai compris chaque étape sauf la 3ème. J'ai pas souvenir d'avoir vu qu'un halogène traité par de la chaleur donnait un alcène. J'ai un peu de mal à comprendre le mécanisme. Est-ce que c'est si simple que ça : on enlève un halogène et on forme une double liaison ? ou est-ce que c'est plus compliqué ? Y a-t-il un lien avec la règle de Zaïtsev ? (ce qui me semble bizarre car on devrait plutôt enlever un H si c'était le cas).
Voilà voilà, merci d'avance pour la réponse et bonne journée
