Salut !!
J’espère que tu vas bien ?
Voici un petit point pour répondre à tes questions !
Classiquement, ce type de question a toujours un peu la même forme. On compare très souvent 2 traitements entre eux ou 1 traitement avec un placebo (dans le cas où il n’existe pas de gold standard). Dans ces situations, le succès correspond à l’amélioration de l’état de santé du patient ou alors la non dégradation de la santé. Si tu veux, pour trouver le succès, il faut se mettre dans la tête du médecin/chercheur et se demander quel est le but du traitement. Ici, on cherche à prévenir l’apparition de détresse respiratoire et donc le succès est l’absence de détresse respiratoire.
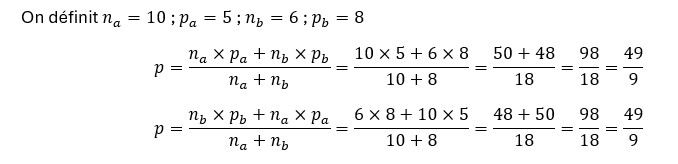
Pour répondre à ta deuxième question, l’ordre n’a pas d’importance dans la formule, du moment que tu multiplies bien les différentes valeurs des évènements entre eux
Voici un petit exemple pour te le montrer :

- Image1.jpg (23.22 Kio) Consulté 19 fois
On obtient donc bien le même résultat peut importe si l’on met l’évènement a ou b en premier
Voilà, j’espère que ça répond à tes interrogations ? Si jamais tu as la moindre autre question, n’hésite pas !!!! Nous te souhaitons plein de réussites et plein de courage pour calculer toujours plus de kiwis !!!!
