Salut,
J’espère que tu vas bien !!!
Alors pour ta première question, tu as parfaitement raison !!!
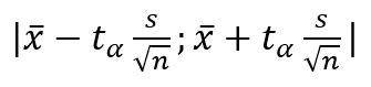
On doit bien utiliser l’écart-type estimé s dans cette formule. La formule de l’IC est bien correcte :

- {CB309785-7145-4816-9420-2BC16F64FEC9}.png (3.77 Kio) Consulté 217 fois

- {C984AC6C-108A-43CA-A0F1-E08B4ECEDB1F}.png (56.29 Kio) Consulté 217 fois
C’est cette deuxième option qui était ici à utiliser ! Mais les deux formules reviennent exactement à la même chose au final étant donné qu’il existe une relation de carré entre la variance et l’écart-type ! Pense vraiment à t’aider de ce qui est donné dans l’énoncé pour savoir quoi utiliser. Et n’hésites pas à t’aiguiller avec les aides aux calculs afin de t’aider !!
Mais ne te décourage pas, tu es vraiment sur la bonne voie ! Tu connais déjà bien tes formules et tu sais quand il faut utiliser quelle formule !
Ensuite, pour ta seconde question, les profs te donneront généralement un rappel dans les calculs d’intervalles de confiance pour les approximations. Mais dans toutes les annales, ils donnent l’approximation 1,96≈2. Sinon, il faut regarder si tu as des aides aux calculs, si tu n’en as pas, alors essaye avec 2 et regarde si tu obtiens un résultat qui figure parmi les items.
Si jamais tu as d’autres questions, n’hésites pas !
La RaStatouille t’aime et te souhaite bon courage
