Coucou la team, petite question..?
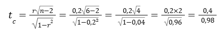
Pour l’item A de ce QSC ID : 117 , comment on trouve 0,98 parce que je trouve 0,96 ?
Merciii
Corrélation et régression
- ambre.vitte
- Messages : 5
- Inscription : 26 novembre 2025, 16:42
- j'en ai marre
- Tuteur de Biostatistiques
- Messages : 16
- Inscription : 17 mars 2025, 07:00
Re: Corrélation et régression
17 mars 2026, 09:01
Coucou
j'espère que tu vas bien !
Je te remets l'énoncé :
Pour répondre à la question, il faut effectuer un test de Pearson.
Dans un premier temps on calcule r :
Puis, on calcule la statistique de test :
Tu as bien raison pour le 0,96 mais cette valeur était dans la racine. Grâce aux données, on savait que racine de 0,96 était égale à 0,98.
J'espère que c'est clair
N'hésite pas si tu as d'autres questions
La Rastatouille t'aime et te souhaite bon courage
j'espère que tu vas bien !
Je te remets l'énoncé :
- Capture d'écran 2026-03-17 093310.png (79.77 Kio) Consulté 56 fois
Dans un premier temps on calcule r :
- Capture d'écran 2026-03-17 094502.png (2.46 Kio) Consulté 56 fois
- Capture d'écran 2026-03-17 095546.png (8.44 Kio) Consulté 56 fois
J'espère que c'est clair
N'hésite pas si tu as d'autres questions
La Rastatouille t'aime et te souhaite bon courage
Aller
- PASS
- ↳ Semestre 1
- ↳ Module 1
- ↳ Pharmacologie
- ↳ Archives
- ↳ Demandes d'errata
- ↳ Demande d'errata 2020-2021
- ↳ Demande d'errata 2021-2022
- ↳ Demande d'errata 2022-2023
- ↳ Demande d'errata 2023-2024
- ↳ Demandes d'errata 2024-2025
- ↳ Pharmacologie 2020-2021
- ↳ Mr Paintaud
- ↳ Mme Angoulvant
- ↳ Mme Maupoil
- ↳ Mr Ternant
- ↳ Mr Chevalier
- ↳ Mr Marchais
- ↳ Pharmacologie 2021-2022
- ↳ Mr Paintaud
- ↳ Mme Angoulvant
- ↳ Mme Maupoil
- ↳ Mr Ternant
- ↳ Mr Chevalier
- ↳ Mr Marchais
- ↳ Pharmacologie 2022-2023
- ↳ Pr Paintaud
- ↳ Pr Munnier
- ↳ Pr Chevalier
- ↳ Pr Ternant
- ↳ Pr Angoulvant
- ↳ Pr Maupoil
- ↳ Pharmacologie 2023-2024
- ↳ Pr Angoulvant
- ↳ Pr Maupoil
- ↳ Pr Munnier
- ↳ Pr Paintaud
- ↳ Pr Ternant
- ↳ Pharmacologie 2024-2025
- ↳ Pr Angoulvant
- ↳ Pr Maupoil
- ↳ Pr Munnier
- ↳ Pr Paintaud
- ↳ Pr Ternant
- ↳ Pharmacologie 2025-2026
- ↳ Pr Angoulvant
- ↳ Pr Maupoil
- ↳ Pr Munnier
- ↳ Pr Paintaud
- ↳ Pr Ternant
- ↳ Demandes d'errata 2025-2026
- ↳ Biophysiques Appliquées aux Méthodes d'Exploration (anciennement biophysiques)
- ↳ Archives
- ↳ Demandes d'errata
- ↳ Demande d'errata 2020-2021
- ↳ Demande d'errata 2021-2022
- ↳ Demande d'errata 2022-2023
- ↳ Demandes d'erratas 2023-2024
- ↳ Demandes d'errata 2024-2025
- ↳ Biophysiques 2020-2021
- ↳ Mr Patat
- ↳ Mr Roumy
- ↳ Mme Santiago-Ribeiro
- ↳ Mr Emond
- ↳ Biophysiques 2021-2022
- ↳ Mr Patat
- ↳ Mr Roumy
- ↳ Mme Santiago-Ribeiro
- ↳ Mr Emond
- ↳ Biophysiques 2022-2023
- ↳ Pr Roumy
- ↳ Pr Patat
- ↳ Biophysiques 2023-2024 (voir aussi les archives de Physico-Chimie pour certains cours)
- ↳ Pr Patat
- ↳ Pr Roumy
- ↳ Biophysiques 2024-2025
- ↳ Pr Arlicot
- ↳ Pr Bailly
- ↳ Pr Emond
- ↳ Pr Roumy
- ↳ Pr Santiago-Ribeiro
- ↳ Biophysiques Appliquées aux Méthodes d'Exploration 2025-2026
- ↳ Pr Arlicot
- ↳ Pr Bailly
- ↳ Pr Roumy
- ↳ Pr Santiago-Ribeiro
- ↳ Demandes d'errata 2025-2026
- ↳ Physiologie
- ↳ Archives
- ↳ Demandes d'errata
- ↳ Demande d'errata 2020-2021
- ↳ Demande d'errata 2021-2022
- ↳ Demande d'errata 2022-2023
- ↳ Demandes d'errata 2023-2024
- ↳ Demandes d'errata 2024-2025
- ↳ Physiologie 2020-2021
- ↳ Mr Plantier
- ↳ Mme Bonnet-Brilhault
- ↳ Mme Maheo
- ↳ Mme Aguillon-Hernandez
- ↳ Mr Ivanes
- ↳ Physiologie 2021-2022
- ↳ Mr Plantier
- ↳ Mme Bonnet-Brilhault
- ↳ Mme Maheo
- ↳ Mme Aguillon-Hernandez
- ↳ Mr Ivanes
- ↳ Physiologie 2022-2023
- ↳ Pr Plantier
- ↳ Pr Maheo
- ↳ Pr Ivanes
- ↳ Pr Bonnet-Brilhault
- ↳ Pr Aguillon-Hernandez
- ↳ Physiologie 2023-2024
- ↳ Pr Aguillon-Hernandez
- ↳ Pr Bonnet-Brilhault
- ↳ Pr Ivanes
- ↳ Pr Maheo
- ↳ Pr Plantier
- ↳ Physiologie 2024-2025
- ↳ Pr Aguillon-Hernandez
- ↳ Pr Bonnet-Brilhault
- ↳ Pr Ivanes
- ↳ Pr Maheo
- ↳ Pr Plantier
- ↳ Physiologie 2025-2026
- ↳ Pr Aguillon-Hernandez
- ↳ Pr Bonnet-Brilhault
- ↳ Pr Ivanes
- ↳ Pr Maheo
- ↳ Pr Plantier
- ↳ Demandes d'errata 2025-2026
- ↳ Module 2
- ↳ Chimie Organique
- ↳ Archives
- ↳ Demandes d'errata
- ↳ Demande d'errata 2021-2022
- ↳ Demande d'errata 2022-2023
- ↳ Demande d'errata 2023-2024
- ↳ Demandes d'errata 2024-2025
- ↳ Chimie organique 2020-2021
- ↳ Chimie organique 2021-2022
- ↳ Chimie organique 2022-2023
- ↳ Chimie Organique 2023-2024
- ↳ Chimie Organique 2024-2025
- ↳ Chimie Organique 2025-2026
- ↳ Demandes d'errata 2025-2026
- ↳ Biochimie
- ↳ Archives
- ↳ Demandes d'errata
- ↳ Demande d'errata 2020-2021
- ↳ Demande d'errata 2021-2022
- ↳ Demande d'errata 2022-2023
- ↳ Demandes d'errata 2023-2024
- ↳ Demandes d'errata 2024-2025
- ↳ Biochimie 2020-2021
- ↳ Mr Allouchi
- ↳ Mr Andres
- ↳ Mme Blasco
- ↳ Mr Piver
- ↳ Mr Clastre
- ↳ Biochimie 2021-2022
- ↳ Mr Allouchi
- ↳ Mr Andres
- ↳ Mme Blasco
- ↳ Mr Piver
- ↳ Mr Clastre
- ↳ Biochimie 2022-2023
- ↳ Pr Andres
- ↳ Pr Clastre
- ↳ Pr Piver
- ↳ Pr Blasco
- ↳ Pr Allouchi
- ↳ Biochimie 2023-2024
- ↳ Pr Allouchi
- ↳ Pr Andres
- ↳ Pr Blasco
- ↳ Pr Clastres
- ↳ Pr Piver
- ↳ Biochimie 2024-2025
- ↳ Pr Allouchi
- ↳ Pr Andres
- ↳ Pr Blasco
- ↳ Pr Clastres
- ↳ Pr Piver
- ↳ Biochimie 2025-2026
- ↳ Pr Allouchi
- ↳ Pr Andres
- ↳ Pr Blasco
- ↳ Pr Clastres
- ↳ Pr Piver
- ↳ Demandes d'errata 2025-2026
- ↳ Biophysiques du Milieu Intérieur (anciennement Physico-Chimie)
- ↳ Archives
- ↳ Demandes d'errata
- ↳ Demande d'errata 2021-2022
- ↳ Demande d'errata 2022-2023
- ↳ Demande d'errata 2023-2024
- ↳ Demandes d'errata 2024-2025
- ↳ physico chimie 2020-2021
- ↳ Mr Patat
- ↳ Mme Dufour
- ↳ Mr Emond
- ↳ Physico chimie 2021-2022
- ↳ Mr Patat
- ↳ Mme Dufour
- ↳ Mr Emond
- ↳ Physico-chimie 2022-2023
- ↳ Physico-Chimie 2023-2024 (voir aussi les archives de Biophysiques du Pr Patat pour certains cours)
- ↳ Pr Emond
- ↳ Pr Santiago-Ribeiro
- ↳ Pr Dufour
- ↳ Physico-Chimie 2024-2025
- ↳ Pr Arlicot
- ↳ Pr Dufour
- ↳ Pr Emond
- ↳ Pr Bailly
- ↳ Biophysiques du Milieu Intérieur 2025-2026
- ↳ Pr Arlicot
- ↳ Pr Bailly
- ↳ Pr Dufour
- ↳ Demandes d'errata 2025-2026
- ↳ Module 4
- ↳ Anglais
- ↳ Archives
- ↳ Demandes d'errata
- ↳ Demande d'errata 2020-2021
- ↳ Demande d'errata 2021-2022
- ↳ Demande d'errata 2022-2023
- ↳ Demandes d'errata 2023-2024
- ↳ Demandes d'errata 2024-2025
- ↳ Anglais 2020-2021
- ↳ Anglais 2021-2022
- ↳ Anglais 2022-2023
- ↳ Anglais 2023-2024
- ↳ Anglais 2024-2025
- ↳ Anglais 2025-2026
- ↳ Demandes d'errata 2025-2026
- ↳ Santé Publique
- ↳ Archives
- ↳ Demandes d'errata
- ↳ Demande d'errata 2020-2021
- ↳ Demande d'errata 2021-2022
- ↳ Demande d'errata 2022-2023
- ↳ Demandes d'errata 2023-2024
- ↳ Demandes d'errata 2024-2025
- ↳ Santé publique 2020-2021
- ↳ Mr Rusch
- ↳ Mme Guillon
- ↳ Santé publique 2021-2022
- ↳ Mr Rusch
- ↳ Mme Guillon
- ↳ Santé Publique 2022-2023
- ↳ Pr Rusch
- ↳ Pr Guillon
- ↳ Santé Publique 2023-2024
- ↳ Pr Guillon
- ↳ Pr Rusch
- ↳ Santé Publique 2024-2025
- ↳ Pr Guillon
- ↳ Pr Rusch
- ↳ Santé Publique 2025-2026
- ↳ Pr Guillon
- ↳ Pr Rusch
- ↳ Demandes d'errata 2025-2026
- ↳ Découverte des métiers
- ↳ Archives
- ↳ Demandes d'errata
- ↳ Demande d'errata 2020-2021
- ↳ Demande d'errata 2021-2022
- ↳ Demande d'errata 2022-2023
- ↳ Demandes d'errata 2023-2024
- ↳ Demandes d'errata 2024-2025
- ↳ Découverte des métiers 2020-2021
- ↳ Découverte des métiers 2021-2022
- ↳ Découverte des métiers 2022-2023
- ↳ Découverte des métiers 2023-2024
- ↳ Filière Médecine 2023-2024
- ↳ Filière Maïeutique 2023-2024
- ↳ Filière Odontologie 2023-2024
- ↳ Filière Pharmacie 2023-2024
- ↳ Filière Kinésithérapie 2023-2024
- ↳ Découverte des métiers 2024-2025
- ↳ Filière Médecine
- ↳ Filière Maïeutique
- ↳ Filière Odontologie
- ↳ Filière Pharmacie
- ↳ Filière Kinésithérapie
- ↳ Découverte des métiers 2025-2026
- ↳ Filière Médecine
- ↳ Filière Maïeutique
- ↳ Filière Odontologie
- ↳ Filière Pharmacie
- ↳ Filière Kinésithérapie
- ↳ Demandes d'errata 2025-2026
- ↳ Semestre 2
- ↳ Module 5
- ↳ Tronc commun
- ↳ Imagerie médicale
- ↳ Archives
- ↳ Demandes d'errata
- ↳ Demande d'errata 2022-2023
- ↳ Demandes d'errata-2024
- ↳ Demandes d'errata 2024-2025
- ↳ Imagerie Médicale 2020-2021
- ↳ Imagerie Médicale 2021-2022
- ↳ Imagerie Médicale 2022-2023
- ↳ Imagerie Médicale 2023-2024
- ↳ Imagerie Médicale 2024-2025
- ↳ Imagerie Médicale 2025-2026
- ↳ Demandes d'errata 2025-2026
- ↳ Sciences humaines et sociales
- ↳ Archives
- ↳ Demande d'errata
- ↳ Demande d'errata 2022-2023
- ↳ Demande d'errata 2023-2024
- ↳ Demandes d'errata 2024-2025
- ↳ Sciences humaines et sociales 2020-2021
- ↳ Mr Camus
- ↳ Mme Birmelé
- ↳ Mr Mallet
- ↳ Sciences humaines et sociales 2021-2022
- ↳ Mr Camus
- ↳ Mme Birmelé
- ↳ Mr Mallet
- ↳ Sciences humaines et sociales 2022-2023
- ↳ Camus
- ↳ Mallet
- ↳ Sciences humaines et sociales 2023-2024
- ↳ Pr Camus
- ↳ Pr Mallet
- ↳ Sciences Humaines et Sociales 2024-2025
- ↳ Pr Camus
- ↳ Pr Mallet
- ↳ Sciences Humaines et Sociales 2025-2026
- ↳ Pr Camus
- ↳ Pr Mallet
- ↳ Demandes d'errata 2025-2026
- ↳ Anatomie
- ↳ Archives
- ↳ Demande d'errata
- ↳ Demande d'errata 2022-2023
- ↳ Demande d'errata 2023-2024
- ↳ Demandes d'errata 2024-2025
- ↳ Anatomie 2020-2021
- ↳ Mr Velut
- ↳ Mr Destrieux
- ↳ Anatomie 2021-2022
- ↳ Mr Velut
- ↳ Mr Destrieux
- ↳ Anatomie 2022-2023
- ↳ Pr Velut
- ↳ Pr Destrieux
- ↳ Anatomie 2023-2024
- ↳ Pr Destrieux
- ↳ Pr Velut (remplacé par le Pr Lima-Maldonado en 2024-2025)
- ↳ Anatomie 2024-2025
- ↳ Pr Destrieux
- ↳ Pr Lima-Maldonado
- ↳ Anatomie 2025-2026
- ↳ Pr Destrieux
- ↳ Pr Lima-Maldonado
- ↳ Demandes d'errata 2025-2026
- ↳ Embryologie
- ↳ Archives
- ↳ Demande d'errata
- ↳ Demande d'errata 2022-2023
- ↳ Demandes d'errata 2023-2024
- ↳ Demandes d'errata 2024-2025
- ↳ Embryologie 2020-2021
- ↳ Embryologie 2021-2022
- ↳ Embryologie 2022
- ↳ Embryologie 2022-2023
- ↳ Embryologie 2023-2024
- ↳ Embryologie 2024-2025
- ↳ Embryologie 2025-2026
- ↳ Demandes d'errata 2025-2026
- ↳ Spécialité PASS/L.AS
- ↳ Anatomie
- ↳ Archives
- ↳ Demande d'errata
- ↳ Demande d'errata 2023-2024
- ↳ Demandes d'errata 2024-2025
- ↳ Spécialité PACES résiduelle
- ↳ MMO
- ↳ Anatomie
- ↳ 2020-2021
- ↳ Mr Velut
- ↳ Mr Destrieux
- ↳ Demande d'errata
- ↳ Demande d'errata 2022-2023
- ↳ Physiologie - Génétique
- ↳ 2020-2021
- ↳ Mr Andrès
- ↳ Mme Vuillaume-Winter
- ↳ Mr Patat
- ↳ Mme Bonnet-Brilhault
- ↳ Mr Bakhos
- ↳ Mr Vourc’h
- ↳ Demande d'errata
- ↳ Histologie - Embryologie
- ↳ 2020-2021
- ↳ Mr Guérif
- ↳ Mr Perrotin
- ↳ Mr De Pinieux
- ↳ Demande d'errata
- ↳ Pharmacie
- ↳ 2020-2021
- ↳ Pr Marchais
- ↳ Pr Allouchi
- ↳ Pr Glevarec
- ↳ Pr Oudin
- ↳ Archives
- ↳ Demande d'errata
- ↳ Anatomie (spé) 2020-2021
- ↳ Mr Destrieux
- ↳ Mr Velut
- ↳ Anatomie (spé) 2021-2022
- ↳ Mr Destrieux
- ↳ Mr Velut
- ↳ Anatomie (spé) 2022-2023
- ↳ Pr Destrieux
- ↳ Pr Velut
- ↳ Anatomie (spé) 2023-2024
- ↳ Pr Destrieux
- ↳ Pr Velut (remplacé par le Pr Lima-Maldonado en 2024-2025)
- ↳ Anatomie (spé) 2024-2025
- ↳ Pr Destrieux
- ↳ Pr Lima-Maldonado
- ↳ Anatomie (spé) 2025-2026
- ↳ Pr Destrieux
- ↳ Pr Lima-Maldonado
- ↳ Demandes d'errata 2025-2026
- ↳ Spé Maïeutique
- ↳ Archives
- ↳ Demande d'errata
- ↳ Demande d'errata 2022-2023
- ↳ Demande d'errata 2023-2024
- ↳ Demandes d'errata 2024-2025
- ↳ Spé Maïeutique 2020-2021
- ↳ Mr Perrotin
- ↳ Mr Guérif
- ↳ Spé Maïeutique 2021-2022
- ↳ Mr Perrotin
- ↳ Mr Guérif
- ↳ Mr Guérif
- ↳ Spé Maïeutique 2022-2023
- ↳ Spé Maïeutique 2023-2024
- ↳ Spé Maïeutique 2024-2025
- ↳ Spé Maïeutique 2025-2026
- ↳ Demandes d'errata 2025-2026
- ↳ Spé Odontologie
- ↳ Archives
- ↳ Demande d'errata
- ↳ Demande d'errata 2022-2023
- ↳ Demande d'errata 2023-2024
- ↳ Demandes d'errata 2024-2025
- ↳ Spé Odontologie 2021
- ↳ Spé Odontologie 2022
- ↳ Spé Odontologie 2022-2023
- ↳ Spé Odontologie 2023-2024
- ↳ Spé Odontologie 2024-2025
- ↳ Spé Odontologie 2025-2026
- ↳ Demandes d'errata 2025-2026
- ↳ Spé Pharmacie
- ↳ Archives
- ↳ Demande d'errata
- ↳ Demande d'errata 2022-2023
- ↳ Demande d'errata 2023-2024
- ↳ Demandes d'errata 2024-2025
- ↳ Spé Pharmacie 2020-2021
- ↳ Pr Oudin
- ↳ Pr Glevarec
- ↳ Pr Marchais
- ↳ Pr Allouchi
- ↳ Pr Pasqualin
- ↳ Pr Viaud Massuard
- ↳ Spé Pharmacie 2021-2022
- ↳ Spé pharmacie 2022-2023
- ↳ Spé Pharmacie 2023-2024
- ↳ Spé Pharmacie 2024-2025
- ↳ Spé Pharmacie 2025-2026
- ↳ Demandes d'errata 2025-2026
- ↳ Spé Kinésithérapie
- ↳ Archives
- ↳ Demande d'errata
- ↳ Demande d'errata 2023-2024
- ↳ Demandes d'errata 2024-2025
- ↳ Spé Kinésithérapie 2021
- ↳ Spé Kinésithérapie 2022
- ↳ Spé kinésithérapie
- ↳ Spé Kinésithérapie 2023-2024
- ↳ Spé Kinésithérapie 2024-2025
- ↳ Spé Kinésithérapie 2025-2026
- ↳ Demandes d'errata 2025-2026
- ↳ Module 6
- ↳ Biologie cellulaire
- ↳ Archives
- ↳ Demande d'errata
- ↳ Demande d'errata 2022-2023
- ↳ Demande d'errata 2023-2024
- ↳ Demandes d'errata 2024-2025
- ↳ Biologie cellulaire 2020-2021
- ↳ Mme Blanchard
- ↳ Mr Hourioux
- ↳ Mr Patient
- ↳ Mr Roingeard
- ↳ Mr Clastre
- ↳ Biologie cellulaire 2021-2022
- ↳ Mme Blanchard
- ↳ Mr Hourioux
- ↳ Mr Patient
- ↳ Mr Roingeard
- ↳ Mr Clastre
- ↳ Biologie cellulaire 2022-2023
- ↳ Pr Hourioux
- ↳ Pr Blanchard
- ↳ Pr Patient
- ↳ Pr Roingeard
- ↳ Pr Clastre
- ↳ Biologie Cellulaire 2023-2024
- ↳ Pr Blanchard
- ↳ Pr Clastres
- ↳ Pr Hourioux
- ↳ Pr Patient
- ↳ Pr Roingeard
- ↳ Biologie Cellulaire 2024-2025
- ↳ Pr Blanchard
- ↳ Pr Clastres
- ↳ Pr Eymieux
- ↳ Pr Hourioux
- ↳ Pr Patient
- ↳ Pr Roingeard
- ↳ Biologie Cellulaire 2025-2026
- ↳ Pr Blanchard
- ↳ Pr Clastres
- ↳ Pr Eymieux
- ↳ Pr Hourioux
- ↳ Pr Patient
- ↳ Pr Roingeard
- ↳ Demandes d'errata 2025-2026
- ↳ Histologie
- ↳ Archives
- ↳ Demande d'errata
- ↳ Demande d'errata 2022-2023
- ↳ demande d'errata 2023-2024
- ↳ Demandes d'errata 2024-2025
- ↳ Histologie 2020-2021
- ↳ Mme Fromont
- ↳ Mr De Pinieux
- ↳ Mme Standley
- ↳ Histologie 2021-2022
- ↳ Mme Fromont
- ↳ Mr De Pinieux
- ↳ Mme Standley
- ↳ Histologie 2022-2023
- ↳ Pr Standley
- ↳ Pr Fromont
- ↳ Pr de Pinieux
- ↳ Histologie 2023-2024
- ↳ Pr De Pinieux
- ↳ Pr Fromont
- ↳ Pr Standley
- ↳ Histologie 2024-2025
- ↳ Pr De Pinieux
- ↳ Pr Fromont
- ↳ Pr Standley
- ↳ Histologie 2025-2026
- ↳ Pr De Pinieux
- ↳ Pr Fromont
- ↳ Pr Standley
- ↳ Demandes d'errata 2025-2026
- ↳ Biologie de la reproduction
- ↳ Archives
- ↳ Demande d'errata
- ↳ Demande d'errata 2022-2023
- ↳ Demande d'errata 2023-2024
- ↳ Demandes d'errata 2024-2025
- ↳ Biologie de la reproduction 2020-2021
- ↳ Biologie de la reproduction 2021-2022
- ↳ Biologie de la reproduction 2022-2023
- ↳ Biologie de la reproduction 2023-2024
- ↳ Biologie de la Reproduction 2024-2025
- ↳ Biologie de la reproduction 2025-2026
- ↳ Demandes d'errata 2025-2026
- ↳ Génétique
- ↳ Archives
- ↳ Demande d'errata
- ↳ Demande d'errata 2022-2023
- ↳ Demande d'errata 2023-2024
- ↳ Demandes d'errata 2024-2025
- ↳ Génétique 2020-2021
- ↳ Mme Toutain
- ↳ Mme Vuillaume-Winter
- ↳ Mr Andrès
- ↳ Mr Vourc'h
- ↳ Génétique 2021-2022
- ↳ Mme Toutain
- ↳ Mme Vuillaume-Winter
- ↳ Mr Andrès
- ↳ Mr Vourc'h
- ↳ Génétique 2022-2023
- ↳ Pr Vrouc'h
- ↳ Pr Andrès
- ↳ Pr Toutain
- ↳ Pr Vuillaume-Winter
- ↳ Génétique 2023-2024
- ↳ Pr Andres
- ↳ Pr Toutain
- ↳ Pr Vourc'h
- ↳ Pr Vuillaume-Winter
- ↳ Génétique 2024-2025
- ↳ Pr Andres
- ↳ Pr Toutain
- ↳ Pr Vourc'h
- ↳ Pr Vuillaume-Winter
- ↳ Génétique 2025-2026
- ↳ Pr Andres
- ↳ Pr Toutain
- ↳ Pr Vourc'h
- ↳ Pr Vuillaume-Winter
- ↳ Demandes d'errata 2025-2026
- ↳ Module 8
- ↳ Biostatistiques
- ↳ Archives
- ↳ Demande d'errata
- ↳ Demande d'errata 2022-2023
- ↳ Demande d'errata 2023-2024
- ↳ Demandes d'errata 2024-2025
- ↳ Biostatistiques 2020-2021
- ↳ Mr Tauber
- ↳ Mme Caille
- ↳ Mr Giraudeau
- ↳ Biostatistiques 2021-2022
- ↳ Mr Tauber
- ↳ Mme Caille
- ↳ Mr Giraudeau
- ↳ Biostatistiques 2022-2023
- ↳ Pr Tauber
- ↳ Pr Giraudeau
- ↳ Pr Caille
- ↳ Biostatistiques 2023-2024
- ↳ Pr Caille
- ↳ Pr Giraudeau
- ↳ Pr Tauber
- ↳ Biostatistiques 2024-2025
- ↳ Pr Caille
- ↳ Pr Giraudeau
- ↳ Pr Tauber
- ↳ Biostatistiques 2025-2026
- ↳ Pr Caille
- ↳ Pr Giraudeau
- ↳ Pr Tauber
- ↳ Demandes d'errata 2025-2026
- ↳ Philosophie des sciences
- ↳ Archives
- ↳ Demande d'errata
- ↳ Demandes d'errata 2024-2025
- ↳ Philosophie des sciences 2020-2021
- ↳ Philosophie des sciences 2021-2022
- ↳ Philosophie des sciences 2022-2023
- ↳ Philosophie des sciences 2023-2024
- ↳ Philosophie des Sciences 2024-2025
- ↳ Philosophie des Sciences 2025-2026
- ↳ Demandes d'errata 2025-2026
- ↳ Pré-rentrée
- ↳ Errata
- ↳ Archives
- ↳ Errata 2023-2024
- ↳ Errata 2024-2025
- ↳ Errata 2025-2026
- ↳ Errata Polycopié
- ↳ Errata Colle
- L.AS
- ↳ Semestre 1
- ↳ Biologie cellulaire
- ↳ Archives
- ↳ Biologie cellulaire 2020-2021
- ↳ Biologie cellulaire 2023-2024
- ↳ Biologie Cellulaire 2024-2025
- ↳ Biologie Cellulaire 2025-2026
- ↳ Biologie de la reproduction
- ↳ Archives
- ↳ Biologie de la reproduction 2020-2021
- ↳ Biologie de la reproduction 2024-2025
- ↳ Biologie de la reproduction 2025-2026
- ↳ Histologie
- ↳ Archives
- ↳ Histologie 2020-2021
- ↳ Histologie 2022-2023
- ↳ Histologie 2024-2025
- ↳ Histologie 2025-2026
- ↳ Chimie Organique
- ↳ Archives
- ↳ Chimie organique 2020-2021
- ↳ Chimie organique 2022-2023
- ↳ Chimie Organique 2023-2024
- ↳ Chimie Organique 2024-2025
- ↳ Chimie Organique 2025-2026
- ↳ Biochimie
- ↳ Archives
- ↳ Biochimie 2020-2021
- ↳ Biochimie 2022-2023
- ↳ Biochimie 2023-2024
- ↳ Biochimie 2024-2025
- ↳ Biochimie 2025-2026
- ↳ Biophysique
- ↳ Archives
- ↳ Biophysique 2020-2021
- ↳ Biophysique 2022-2023
- ↳ Biophysique 2024-2025
- ↳ Biophysique 2025-2026
- ↳ Physiologie des organes
- ↳ Archives
- ↳ Physiologie des organes 2020-2021
- ↳ Physiologie des organes 2022-2023
- ↳ Physiologie des organes 2023-2024
- ↳ Physiologie des Organes 2024-2025
- ↳ Physiologie des Organes 2025-2026
- ↳ Génétique
- ↳ Archives
- ↳ Génétique 2020-2021
- ↳ Génétique 2024-2025
- ↳ Génétique 2025-2026
- ↳ Initiation aux médicaments
- ↳ Archives
- ↳ Initiation aux médicaments 2020-2021
- ↳ Initiation aux médicaments 2021-2022
- ↳ Initiation aux médicaments 2022-2023
- ↳ Initiation aux médicaments 2023-2024
- ↳ Initiation aux Médicaments 2024-2025
- ↳ Initiation aux Médicaments 2025-2026
- ↳ Santé Publique
- ↳ Archives
- ↳ Santé Publique 2020-2021
- ↳ Santé Publique 2023-2024
- ↳ Santé Publique 2024-2025
- ↳ Santé Publique 2025-2026
- ↳ Présentation aux métiers de la santé
- ↳ Archives
- ↳ Présentation aux métiers de la santé 2020-2021
- ↳ Présentation aux métiers de la santé 2023-2024
- ↳ Présentation aux Métiers de la Santé 2024-2025
- ↳ Présentation aux Métiers de la Santé 2025-2026
- ↳ Philosophie des sciences
- ↳ Archives
- ↳ Philosophie des sciences 2020-2021
- ↳ Philosophie des sciences 2023-2024
- ↳ Philosophie des Sciences 2024-2025
- ↳ Philosophie des Sciences 2025-2026
- ↳ Semestre 2
- ↳ Errata
- ↳ Archive
- ↳ Errata 2020-2021
- ↳ Errata 2022-2023
- ↳ Errata 2024-2025
- ↳ Errata 2025-2026
- ↳ Pré-rentrée
- Pharmacie TEPT
- ↳ Orientation, général & divers
- ↳ 2A
- ↳ Erratas ronéos
- ↳ S1
- ↳ Biochimie
- ↳ Biophysique
- ↳ Chimie analytique
- ↳ Formulation et fabrication
- ↳ Génétique moléculaire et biologie cellulaire
- ↳ Sciences pharmacologiques
- ↳ Procaryotes
- ↳ Règne animal
- ↳ Règnes végétal et fongique
- ↳ S2
- ↳ Anglais
- ↳ Bio-ingénierie végétale
- ↳ Chimie analytique
- ↳ Formulation et fabrication
- ↳ Pharmacognosie
- ↳ Hématologie
- ↳ Immunologie
- ↳ Infectiologie générale
- ↳ Synthèse organique
- ↳ 3A
- ↳ Erratas ronéos
- ↳ S1
- ↳ Anglais
- ↳ Biopharmacie
- ↳ Hématologie
- ↳ Immunologie
- ↳ Infectiologie clinique
- ↳ Organisation, gestion et communication
- ↳ Physiologie
- ↳ S2
- ↳ Anglais
- ↳ Biotechnologie
- ↳ Cardiologie et néphrologie
- ↳ Contrôle qualité
- ↳ Endocrinologie
- ↳ Informations médicales et communication
- ↳ Pharmacognosie
- ↳ Santé publique
- ↳ 4A
- ↳ CSP
- ↳ Erratas ronéos
- ↳ S1
- ↳ Anglais
- ↳ Douleurs et maladies du SNC
- ↳ Médicaments du SI et biothérapies
- ↳ Pharmacie clinique et épidémiologie
- ↳ ORL et pneumologie
- ↳ Santé publique, réglementation et déontologie
- ↳ S2
- ↳ Cancérologie
- ↳ Education thérapeutique
- ↳ Gastrologie-Entérologie-Hépatologie
- ↳ Toxicologie clinique
- Sage femme L2
- ↳ Semestre 1
- ↳ Pharmacologie
- ↳ Appareil cardio-respi
- ↳ Reins et voies urinaires
- ↳ Hématologie
- ↳ Santé publique
- ↳ Embryologie
- ↳ Sémiologie
- ↳ Ed/TP
- ↳ Orthopédie
- ↳ Ophtalmologie
- ↳ Neurologie
- ↳ Digestif
- ↳ Dermatologie
- ↳ Hébergement
- ↳ Bien-être
- ↳ Semestre 2
- ↳ Anglais
- ↳ Santé publique
- ↳ SSH
- ↳ Nutrition
- ↳ Hormono
- ↳ Gynécologie
- ↳ Pédiatrie
- ↳ Obstétrique
- ↳ ED/TP
- ↳ Archive
- Vie étudiante
- ↳ Orientation
- ↳ Pédagogie et Bien-être
- Oraux