Hello Éric !!
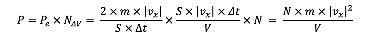
Tout d’abord il est important de rappeler que la
pression totale correspond à la somme des
pressions partielles, ainsi pour obtenir cette pression totale il faut multiplier
NΔ𝑉 le nombre de particules du volume Δ𝑉 par la
pression élémentaire Pe d’une particule. Après développement de la formule, l’expression est :

- première expression.png (78.91 Kio) Consulté 2131 fois
C’est de cette expression que provient la vitesse au carré
Remarque : nous ne sommes pas encore dans les 3 dimensions
- le facteur 2 disparait, car toutes les particules sont considérées.
- l’équation est simplifiée en une seule dimension x.
Maintenant, la formule doit être exprimée dans les trois dimensions et pour cela il faut :
-> multiplier le volume par 3
-> considérer la vitesse moyenne quadratique v2
La formule finale s’écrit :

- expression finale.png (28.98 Kio) Consulté 2131 fois
En effet tu as raison sur le fait qu’
il faut considérer toutes les particules ce qui rend impossible le calcul de vitesse de chaque particule c’est pour cela qu’on calcule la
vitesse moyenne quadratique qui correspond à la
moyenne des carrés des vitesses à tout instant.
J’espère que cette partie est plus claire pour toi et si tu as d’autres questions c’est avec plaisir qu’on y répondra
L’équipe de PC te souhaite bon courage pour la suite !
Claire - Tutrice de Physico-Chimie <333