Salut,
Prenons le temps de détailler les calculs de ces deux diapos ensemble

!!
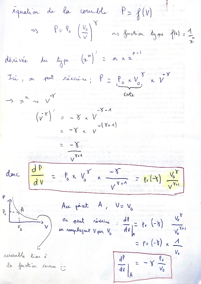
Diapo 1 : élasticité d'un gaz
Tout d'abord, c'est quoi cette nouvelle notion d'élasticité ? Il faut comprendre qu'un gaz a différents comportements quand on lui inflige une contrainte. Prenons l'image d'une seringue remplie d'air bouchée à son extrémité : l'air dans la seringue est à une pression et un volume de référence (les fameux P0 et V0 que nous étudierons plus tard). Si tu pousses sur la pipette, tu obliges le gaz à occuper un plus petit volume que celui initial : il va monter en pression et la pression va devenir positive par rapport à la pression de référence. Par le même principe, si tu tires sur la pipette, tu obliges le gaz à occuper un volume plus grand que le volume de référence : tu détends le gaz, et la pression au sein de la seringue va devenir plus faible que notre pression initiale (de référence).
Tout cela est une image pour dire que la pression et le volume sont directement liés : il faut retenir que
la pression est inversement proportionnelle au volume !
En effet la relation qui lie le volume et la pression est du type P=k/V^a, avec k et a des constantes.
Le professeur traduit cela sur un graphique : quand le volume (en abscisses) augmente, la pression (en ordonnées) diminue.
Voici le détails des calculs :

- diapo 1.png (903.73 Kio) Consulté 1621 fois
Diapo 2 : définition de l'élasticité
Dans ce diapo, on utilise deux égalités proposées par le prof, il ne montre pas comment on y arrive :
- la première est : dP=X.(-dV/V0), (avec X (chi) l'élasticité)
- la deuxième est l'équation des gaz parfaits : P0.V0=n.R.T0
P : pression (Pa), V : volume (m^3), n : qté de matière (mol), R : cste gaz parfaits, T : température (K)
In fine, l'objectif est d'établir une relation entre la célérité (c) de l'onde et les variables du milieu dans lequel est se propage.
Voilà pour les calculs :

- diapo 2.png (902.56 Kio) Consulté 1621 fois
J'espère que cela t'aidera, les détails des calculs ne sont pas à savoir refaire nécessairement, mais il est fondamental des les comprendre pour apprécier la biophysique à sa juste valeur (et pour réussir le concours

)
Toute l'équipe de biofun de souhaite plein de courage dans tes révisions
Thomas