Merci d'avance
Crotonisation & annélation de Robinson.
Crotonisation & annélation de Robinson.
27 novembre 2023, 13:08
Bonjour, serait-il possible de reprendre les étapes de l'annélation de Robinson avec les molécules ? Je n'arrive pas à redessiner la réaction (notamment la partie de la cyclisation intramoléculaire et la crotonisation , je ne comprends pas trop comment ça fonctionne) complète par moi-même, surtout qu'il y a de nombreuses étapes.
Merci d'avance
Merci d'avance
Re: Crotonisation & annélation de Robinson.
28 novembre 2023, 19:40
Salut Aurélia ! J’espère que tu vas bien
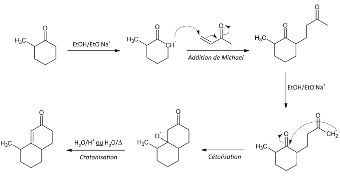
Alors je te mets la réaction complète détaillée juste ici et nous allons revoir ça étape par étape.
Le produit de départ de l’Annélation de Robinson est toujours une cétone.
Etape 1 : formation d’un carbanion
La première étape consiste en l’ajout d’une base. Comme tu le sais la première chose qu’une base va faire c’est réagir avec un acide, tu cherches donc quel pourrait être l’acide qui va réagir ici. Il est très important de noter que tous les hydrogènes en alpha d’un carbonyle sont acides, une base va donc arracher l’un d’eux.
Maintenant comment savoir quel hydrogène va être arraché ? En fait lorsqu’on arrache un hydrogène ça forme un carbanion, on cherche donc à former le carbanion le plus stable. Petit rappel sur la stabilité des carbanions : I > II > III. /!\ Le carbanion peut être stabilisé par mésomérie si une double liaison ou un groupement -M se trouve en alpha de celui-ci, dans ce cas-là ce carbanion sera le plus stable. /!\
A l’issue de la première étape tu as donc formé un carbanion le plus stable possible en alpha du carbonyle.
Etape 2 : addition 1,4 de Michael
La deuxième étape consiste en l’ajout d’une cétone vinylique. Tu as un carbanion qui est nucléophile et comme tu le sais un nucléophile réagit avec un électrophile, le – attaque toujours le +. Tu cherches donc ce qui joue le rôle d’électrophile.
Une cétone vinylique présente 2 sites électrophiles : le carbone du carbonyle (addition 1,2) et le carbone de la double liaison (addition 1,4). Tu peux faire l’analogie avec les organomagnésiens. Dans le cas d’une Annélation de Robinson c’est toujours l’addition 1,4 qui a lieu ! Il y a donc une étape de mésomérie puis de tautomérie et le carbonyle est conservé.
A l’issue de la deuxième étape tu as donc formé une molécule contenant 2 cétones.
Etape 3 : formation d’un carbanion
La troisième étape est la même que la première, on réutilise une base qui va encore une fois arracher un hydrogène acide en alpha d’un carbonyle. Cette fois tu as 2 carbonyles donc tu as plus de choix mais on cherche toujours à former le carbanion le plus stable, ici ce sera le primaire en bout de chaine.
A l’issue de la troisième étape tu as une molécule avec 2 cétones et un carbanion en alpha de l’une d’elle.
Etape 4 : cyclisation intramoléculaire
La quatrième étape est une réaction intramoléculaire ne nécessitant pas de réactifs. Il ne faut pas que ça te perturbe parce que c’est intramoléculaire, c’est comme une réaction entre 2 molécules avec un nucléophile et un électrophile. Ici le carbanion est le nucléophile et le carbone du carbonyle est l’électrophile donc une réaction peut avoir lieu ! Une liaison se crée et comme dans ce cas c’est au sein de la même molécule, ça va naturellement faire un cycle.
Cette réaction intramoléculaire est ici une cétolisation puisque c’est bien un carbanion en alpha d’une cétone qui attaque une autre cétone et conduit à un cétol.
A l’issue de la quatrième étape tu as donc une molécule cyclique avec une cétone et un alcoolate.
Etape 5 : crotonisation
La cinquième étape consiste en l’ajout d’eau en milieu acide ou en présence de chaleur. Cela permet une déshydratation de la molécule donc un départ d’eau et la formation d’une double liaison. C’est en fait l’alcoolate qui va partir et la double liaison sera formée de façon à être la plus stable possible. Elle va donc se faire en alpha du carbonyle ainsi elle sera stabilisée par mésomérie.
A l’issue de la cinquième étape tu as une molécule cyclique avec un carbonyle α,β insaturé.
Voilaaaa on est arrivé au bout de cette réaction qui j’espère n’a plus de secret pour toi
J’espère avoir pu t’éclairer et que tu comprends mieux maintenant, sinon n’hésites pas à venir nous voir en perm tuteurs
Toute la team de chimie orga te souhaite bon courage <3
Alors je te mets la réaction complète détaillée juste ici et nous allons revoir ça étape par étape.
- Capture d'écran 2023-11-28 113244.png (39.19 Kio) Consulté 1171 fois
Etape 1 : formation d’un carbanion
La première étape consiste en l’ajout d’une base. Comme tu le sais la première chose qu’une base va faire c’est réagir avec un acide, tu cherches donc quel pourrait être l’acide qui va réagir ici. Il est très important de noter que tous les hydrogènes en alpha d’un carbonyle sont acides, une base va donc arracher l’un d’eux.
Maintenant comment savoir quel hydrogène va être arraché ? En fait lorsqu’on arrache un hydrogène ça forme un carbanion, on cherche donc à former le carbanion le plus stable. Petit rappel sur la stabilité des carbanions : I > II > III. /!\ Le carbanion peut être stabilisé par mésomérie si une double liaison ou un groupement -M se trouve en alpha de celui-ci, dans ce cas-là ce carbanion sera le plus stable. /!\
A l’issue de la première étape tu as donc formé un carbanion le plus stable possible en alpha du carbonyle.
Etape 2 : addition 1,4 de Michael
La deuxième étape consiste en l’ajout d’une cétone vinylique. Tu as un carbanion qui est nucléophile et comme tu le sais un nucléophile réagit avec un électrophile, le – attaque toujours le +. Tu cherches donc ce qui joue le rôle d’électrophile.
Une cétone vinylique présente 2 sites électrophiles : le carbone du carbonyle (addition 1,2) et le carbone de la double liaison (addition 1,4). Tu peux faire l’analogie avec les organomagnésiens. Dans le cas d’une Annélation de Robinson c’est toujours l’addition 1,4 qui a lieu ! Il y a donc une étape de mésomérie puis de tautomérie et le carbonyle est conservé.
A l’issue de la deuxième étape tu as donc formé une molécule contenant 2 cétones.
Etape 3 : formation d’un carbanion
La troisième étape est la même que la première, on réutilise une base qui va encore une fois arracher un hydrogène acide en alpha d’un carbonyle. Cette fois tu as 2 carbonyles donc tu as plus de choix mais on cherche toujours à former le carbanion le plus stable, ici ce sera le primaire en bout de chaine.
A l’issue de la troisième étape tu as une molécule avec 2 cétones et un carbanion en alpha de l’une d’elle.
Etape 4 : cyclisation intramoléculaire
La quatrième étape est une réaction intramoléculaire ne nécessitant pas de réactifs. Il ne faut pas que ça te perturbe parce que c’est intramoléculaire, c’est comme une réaction entre 2 molécules avec un nucléophile et un électrophile. Ici le carbanion est le nucléophile et le carbone du carbonyle est l’électrophile donc une réaction peut avoir lieu ! Une liaison se crée et comme dans ce cas c’est au sein de la même molécule, ça va naturellement faire un cycle.
Cette réaction intramoléculaire est ici une cétolisation puisque c’est bien un carbanion en alpha d’une cétone qui attaque une autre cétone et conduit à un cétol.
A l’issue de la quatrième étape tu as donc une molécule cyclique avec une cétone et un alcoolate.
Etape 5 : crotonisation
La cinquième étape consiste en l’ajout d’eau en milieu acide ou en présence de chaleur. Cela permet une déshydratation de la molécule donc un départ d’eau et la formation d’une double liaison. C’est en fait l’alcoolate qui va partir et la double liaison sera formée de façon à être la plus stable possible. Elle va donc se faire en alpha du carbonyle ainsi elle sera stabilisée par mésomérie.
A l’issue de la cinquième étape tu as une molécule cyclique avec un carbonyle α,β insaturé.
Voilaaaa on est arrivé au bout de cette réaction qui j’espère n’a plus de secret pour toi
J’espère avoir pu t’éclairer et que tu comprends mieux maintenant, sinon n’hésites pas à venir nous voir en perm tuteurs
Toute la team de chimie orga te souhaite bon courage <3
Revenir à « Chimie Organique 2023-2024 »
Aller
- PASS
- ↳ Semestre 1
- ↳ Module 1
- ↳ Pharmacologie
- ↳ Archives
- ↳ Demandes d'errata
- ↳ Demande d'errata 2020-2021
- ↳ Demande d'errata 2021-2022
- ↳ Demande d'errata 2022-2023
- ↳ Demande d'errata 2023-2024
- ↳ Demandes d'errata 2024-2025
- ↳ Pharmacologie 2020-2021
- ↳ Mr Paintaud
- ↳ Mme Angoulvant
- ↳ Mme Maupoil
- ↳ Mr Ternant
- ↳ Mr Chevalier
- ↳ Mr Marchais
- ↳ Pharmacologie 2021-2022
- ↳ Mr Paintaud
- ↳ Mme Angoulvant
- ↳ Mme Maupoil
- ↳ Mr Ternant
- ↳ Mr Chevalier
- ↳ Mr Marchais
- ↳ Pharmacologie 2022-2023
- ↳ Pr Paintaud
- ↳ Pr Munnier
- ↳ Pr Chevalier
- ↳ Pr Ternant
- ↳ Pr Angoulvant
- ↳ Pr Maupoil
- ↳ Pharmacologie 2023-2024
- ↳ Pr Angoulvant
- ↳ Pr Maupoil
- ↳ Pr Munnier
- ↳ Pr Paintaud
- ↳ Pr Ternant
- ↳ Pharmacologie 2024-2025
- ↳ Pr Angoulvant
- ↳ Pr Maupoil
- ↳ Pr Munnier
- ↳ Pr Paintaud
- ↳ Pr Ternant
- ↳ Pharmacologie 2025-2026
- ↳ Pr Angoulvant
- ↳ Pr Maupoil
- ↳ Pr Munnier
- ↳ Pr Paintaud
- ↳ Pr Ternant
- ↳ Demandes d'errata 2025-2026
- ↳ Biophysiques Appliquées aux Méthodes d'Exploration (anciennement biophysiques)
- ↳ Archives
- ↳ Demandes d'errata
- ↳ Demande d'errata 2020-2021
- ↳ Demande d'errata 2021-2022
- ↳ Demande d'errata 2022-2023
- ↳ Demandes d'erratas 2023-2024
- ↳ Demandes d'errata 2024-2025
- ↳ Biophysiques 2020-2021
- ↳ Mr Patat
- ↳ Mr Roumy
- ↳ Mme Santiago-Ribeiro
- ↳ Mr Emond
- ↳ Biophysiques 2021-2022
- ↳ Mr Patat
- ↳ Mr Roumy
- ↳ Mme Santiago-Ribeiro
- ↳ Mr Emond
- ↳ Biophysiques 2022-2023
- ↳ Pr Roumy
- ↳ Pr Patat
- ↳ Biophysiques 2023-2024 (voir aussi les archives de Physico-Chimie pour certains cours)
- ↳ Pr Patat
- ↳ Pr Roumy
- ↳ Biophysiques 2024-2025
- ↳ Pr Arlicot
- ↳ Pr Bailly
- ↳ Pr Emond
- ↳ Pr Roumy
- ↳ Pr Santiago-Ribeiro
- ↳ Biophysiques Appliquées aux Méthodes d'Exploration 2025-2026
- ↳ Pr Arlicot
- ↳ Pr Bailly
- ↳ Pr Roumy
- ↳ Pr Santiago-Ribeiro
- ↳ Demandes d'errata 2025-2026
- ↳ Physiologie
- ↳ Archives
- ↳ Demandes d'errata
- ↳ Demande d'errata 2020-2021
- ↳ Demande d'errata 2021-2022
- ↳ Demande d'errata 2022-2023
- ↳ Demandes d'errata 2023-2024
- ↳ Demandes d'errata 2024-2025
- ↳ Physiologie 2020-2021
- ↳ Mr Plantier
- ↳ Mme Bonnet-Brilhault
- ↳ Mme Maheo
- ↳ Mme Aguillon-Hernandez
- ↳ Mr Ivanes
- ↳ Physiologie 2021-2022
- ↳ Mr Plantier
- ↳ Mme Bonnet-Brilhault
- ↳ Mme Maheo
- ↳ Mme Aguillon-Hernandez
- ↳ Mr Ivanes
- ↳ Physiologie 2022-2023
- ↳ Pr Plantier
- ↳ Pr Maheo
- ↳ Pr Ivanes
- ↳ Pr Bonnet-Brilhault
- ↳ Pr Aguillon-Hernandez
- ↳ Physiologie 2023-2024
- ↳ Pr Aguillon-Hernandez
- ↳ Pr Bonnet-Brilhault
- ↳ Pr Ivanes
- ↳ Pr Maheo
- ↳ Pr Plantier
- ↳ Physiologie 2024-2025
- ↳ Pr Aguillon-Hernandez
- ↳ Pr Bonnet-Brilhault
- ↳ Pr Ivanes
- ↳ Pr Maheo
- ↳ Pr Plantier
- ↳ Physiologie 2025-2026
- ↳ Pr Aguillon-Hernandez
- ↳ Pr Bonnet-Brilhault
- ↳ Pr Ivanes
- ↳ Pr Maheo
- ↳ Pr Plantier
- ↳ Demandes d'errata 2025-2026
- ↳ Module 2
- ↳ Chimie Organique
- ↳ Archives
- ↳ Demandes d'errata
- ↳ Demande d'errata 2021-2022
- ↳ Demande d'errata 2022-2023
- ↳ Demande d'errata 2023-2024
- ↳ Demandes d'errata 2024-2025
- ↳ Chimie organique 2020-2021
- ↳ Chimie organique 2021-2022
- ↳ Chimie organique 2022-2023
- ↳ Chimie Organique 2023-2024
- ↳ Chimie Organique 2024-2025
- ↳ Chimie Organique 2025-2026
- ↳ Demandes d'errata 2025-2026
- ↳ Biochimie
- ↳ Archives
- ↳ Demandes d'errata
- ↳ Demande d'errata 2020-2021
- ↳ Demande d'errata 2021-2022
- ↳ Demande d'errata 2022-2023
- ↳ Demandes d'errata 2023-2024
- ↳ Demandes d'errata 2024-2025
- ↳ Biochimie 2020-2021
- ↳ Mr Allouchi
- ↳ Mr Andres
- ↳ Mme Blasco
- ↳ Mr Piver
- ↳ Mr Clastre
- ↳ Biochimie 2021-2022
- ↳ Mr Allouchi
- ↳ Mr Andres
- ↳ Mme Blasco
- ↳ Mr Piver
- ↳ Mr Clastre
- ↳ Biochimie 2022-2023
- ↳ Pr Andres
- ↳ Pr Clastre
- ↳ Pr Piver
- ↳ Pr Blasco
- ↳ Pr Allouchi
- ↳ Biochimie 2023-2024
- ↳ Pr Allouchi
- ↳ Pr Andres
- ↳ Pr Blasco
- ↳ Pr Clastres
- ↳ Pr Piver
- ↳ Biochimie 2024-2025
- ↳ Pr Allouchi
- ↳ Pr Andres
- ↳ Pr Blasco
- ↳ Pr Clastres
- ↳ Pr Piver
- ↳ Biochimie 2025-2026
- ↳ Pr Allouchi
- ↳ Pr Andres
- ↳ Pr Blasco
- ↳ Pr Clastres
- ↳ Pr Piver
- ↳ Demandes d'errata 2025-2026
- ↳ Biophysiques du Milieu Intérieur (anciennement Physico-Chimie)
- ↳ Archives
- ↳ Demandes d'errata
- ↳ Demande d'errata 2021-2022
- ↳ Demande d'errata 2022-2023
- ↳ Demande d'errata 2023-2024
- ↳ Demandes d'errata 2024-2025
- ↳ physico chimie 2020-2021
- ↳ Mr Patat
- ↳ Mme Dufour
- ↳ Mr Emond
- ↳ Physico chimie 2021-2022
- ↳ Mr Patat
- ↳ Mme Dufour
- ↳ Mr Emond
- ↳ Physico-chimie 2022-2023
- ↳ Physico-Chimie 2023-2024 (voir aussi les archives de Biophysiques du Pr Patat pour certains cours)
- ↳ Pr Emond
- ↳ Pr Santiago-Ribeiro
- ↳ Pr Dufour
- ↳ Physico-Chimie 2024-2025
- ↳ Pr Arlicot
- ↳ Pr Dufour
- ↳ Pr Emond
- ↳ Pr Bailly
- ↳ Biophysiques du Milieu Intérieur 2025-2026
- ↳ Pr Arlicot
- ↳ Pr Bailly
- ↳ Pr Dufour
- ↳ Demandes d'errata 2025-2026
- ↳ Module 4
- ↳ Anglais
- ↳ Archives
- ↳ Demandes d'errata
- ↳ Demande d'errata 2020-2021
- ↳ Demande d'errata 2021-2022
- ↳ Demande d'errata 2022-2023
- ↳ Demandes d'errata 2023-2024
- ↳ Demandes d'errata 2024-2025
- ↳ Anglais 2020-2021
- ↳ Anglais 2021-2022
- ↳ Anglais 2022-2023
- ↳ Anglais 2023-2024
- ↳ Anglais 2024-2025
- ↳ Anglais 2025-2026
- ↳ Demandes d'errata 2025-2026
- ↳ Santé Publique
- ↳ Archives
- ↳ Demandes d'errata
- ↳ Demande d'errata 2020-2021
- ↳ Demande d'errata 2021-2022
- ↳ Demande d'errata 2022-2023
- ↳ Demandes d'errata 2023-2024
- ↳ Demandes d'errata 2024-2025
- ↳ Santé publique 2020-2021
- ↳ Mr Rusch
- ↳ Mme Guillon
- ↳ Santé publique 2021-2022
- ↳ Mr Rusch
- ↳ Mme Guillon
- ↳ Santé Publique 2022-2023
- ↳ Pr Rusch
- ↳ Pr Guillon
- ↳ Santé Publique 2023-2024
- ↳ Pr Guillon
- ↳ Pr Rusch
- ↳ Santé Publique 2024-2025
- ↳ Pr Guillon
- ↳ Pr Rusch
- ↳ Santé Publique 2025-2026
- ↳ Pr Guillon
- ↳ Pr Rusch
- ↳ Demandes d'errata 2025-2026
- ↳ Découverte des métiers
- ↳ Archives
- ↳ Demandes d'errata
- ↳ Demande d'errata 2020-2021
- ↳ Demande d'errata 2021-2022
- ↳ Demande d'errata 2022-2023
- ↳ Demandes d'errata 2023-2024
- ↳ Demandes d'errata 2024-2025
- ↳ Découverte des métiers 2020-2021
- ↳ Découverte des métiers 2021-2022
- ↳ Découverte des métiers 2022-2023
- ↳ Découverte des métiers 2023-2024
- ↳ Filière Médecine 2023-2024
- ↳ Filière Maïeutique 2023-2024
- ↳ Filière Odontologie 2023-2024
- ↳ Filière Pharmacie 2023-2024
- ↳ Filière Kinésithérapie 2023-2024
- ↳ Découverte des métiers 2024-2025
- ↳ Filière Médecine
- ↳ Filière Maïeutique
- ↳ Filière Odontologie
- ↳ Filière Pharmacie
- ↳ Filière Kinésithérapie
- ↳ Découverte des métiers 2025-2026
- ↳ Filière Médecine
- ↳ Filière Maïeutique
- ↳ Filière Odontologie
- ↳ Filière Pharmacie
- ↳ Filière Kinésithérapie
- ↳ Demandes d'errata 2025-2026
- ↳ Semestre 2
- ↳ Module 5
- ↳ Tronc commun
- ↳ Imagerie médicale
- ↳ Archives
- ↳ Demandes d'errata
- ↳ Demande d'errata 2022-2023
- ↳ Demandes d'errata-2024
- ↳ Demandes d'errata 2024-2025
- ↳ Imagerie Médicale 2020-2021
- ↳ Imagerie Médicale 2021-2022
- ↳ Imagerie Médicale 2022-2023
- ↳ Imagerie Médicale 2023-2024
- ↳ Imagerie Médicale 2024-2025
- ↳ Imagerie Médicale 2025-2026
- ↳ Demandes d'errata 2025-2026
- ↳ Sciences humaines et sociales
- ↳ Archives
- ↳ Demande d'errata
- ↳ Demande d'errata 2022-2023
- ↳ Demande d'errata 2023-2024
- ↳ Demandes d'errata 2024-2025
- ↳ Sciences humaines et sociales 2020-2021
- ↳ Mr Camus
- ↳ Mme Birmelé
- ↳ Mr Mallet
- ↳ Sciences humaines et sociales 2021-2022
- ↳ Mr Camus
- ↳ Mme Birmelé
- ↳ Mr Mallet
- ↳ Sciences humaines et sociales 2022-2023
- ↳ Camus
- ↳ Mallet
- ↳ Sciences humaines et sociales 2023-2024
- ↳ Pr Camus
- ↳ Pr Mallet
- ↳ Sciences Humaines et Sociales 2024-2025
- ↳ Pr Camus
- ↳ Pr Mallet
- ↳ Sciences Humaines et Sociales 2025-2026
- ↳ Pr Camus
- ↳ Pr Mallet
- ↳ Demandes d'errata 2025-2026
- ↳ Anatomie
- ↳ Archives
- ↳ Demande d'errata
- ↳ Demande d'errata 2022-2023
- ↳ Demande d'errata 2023-2024
- ↳ Demandes d'errata 2024-2025
- ↳ Anatomie 2020-2021
- ↳ Mr Velut
- ↳ Mr Destrieux
- ↳ Anatomie 2021-2022
- ↳ Mr Velut
- ↳ Mr Destrieux
- ↳ Anatomie 2022-2023
- ↳ Pr Velut
- ↳ Pr Destrieux
- ↳ Anatomie 2023-2024
- ↳ Pr Destrieux
- ↳ Pr Velut (remplacé par le Pr Lima-Maldonado en 2024-2025)
- ↳ Anatomie 2024-2025
- ↳ Pr Destrieux
- ↳ Pr Lima-Maldonado
- ↳ Anatomie 2025-2026
- ↳ Pr Destrieux
- ↳ Pr Lima-Maldonado
- ↳ Demandes d'errata 2025-2026
- ↳ Embryologie
- ↳ Archives
- ↳ Demande d'errata
- ↳ Demande d'errata 2022-2023
- ↳ Demandes d'errata 2023-2024
- ↳ Demandes d'errata 2024-2025
- ↳ Embryologie 2020-2021
- ↳ Embryologie 2021-2022
- ↳ Embryologie 2022
- ↳ Embryologie 2022-2023
- ↳ Embryologie 2023-2024
- ↳ Embryologie 2024-2025
- ↳ Embryologie 2025-2026
- ↳ Demandes d'errata 2025-2026
- ↳ Spécialité PASS/L.AS
- ↳ Anatomie
- ↳ Archives
- ↳ Demande d'errata
- ↳ Demande d'errata 2023-2024
- ↳ Demandes d'errata 2024-2025
- ↳ Spécialité PACES résiduelle
- ↳ MMO
- ↳ Anatomie
- ↳ 2020-2021
- ↳ Mr Velut
- ↳ Mr Destrieux
- ↳ Demande d'errata
- ↳ Demande d'errata 2022-2023
- ↳ Physiologie - Génétique
- ↳ 2020-2021
- ↳ Mr Andrès
- ↳ Mme Vuillaume-Winter
- ↳ Mr Patat
- ↳ Mme Bonnet-Brilhault
- ↳ Mr Bakhos
- ↳ Mr Vourc’h
- ↳ Demande d'errata
- ↳ Histologie - Embryologie
- ↳ 2020-2021
- ↳ Mr Guérif
- ↳ Mr Perrotin
- ↳ Mr De Pinieux
- ↳ Demande d'errata
- ↳ Pharmacie
- ↳ 2020-2021
- ↳ Pr Marchais
- ↳ Pr Allouchi
- ↳ Pr Glevarec
- ↳ Pr Oudin
- ↳ Archives
- ↳ Demande d'errata
- ↳ Anatomie (spé) 2020-2021
- ↳ Mr Destrieux
- ↳ Mr Velut
- ↳ Anatomie (spé) 2021-2022
- ↳ Mr Destrieux
- ↳ Mr Velut
- ↳ Anatomie (spé) 2022-2023
- ↳ Pr Destrieux
- ↳ Pr Velut
- ↳ Anatomie (spé) 2023-2024
- ↳ Pr Destrieux
- ↳ Pr Velut (remplacé par le Pr Lima-Maldonado en 2024-2025)
- ↳ Anatomie (spé) 2024-2025
- ↳ Pr Destrieux
- ↳ Pr Lima-Maldonado
- ↳ Anatomie (spé) 2025-2026
- ↳ Pr Destrieux
- ↳ Pr Lima-Maldonado
- ↳ Demandes d'errata 2025-2026
- ↳ Spé Maïeutique
- ↳ Archives
- ↳ Demande d'errata
- ↳ Demande d'errata 2022-2023
- ↳ Demande d'errata 2023-2024
- ↳ Demandes d'errata 2024-2025
- ↳ Spé Maïeutique 2020-2021
- ↳ Mr Perrotin
- ↳ Mr Guérif
- ↳ Spé Maïeutique 2021-2022
- ↳ Mr Perrotin
- ↳ Mr Guérif
- ↳ Mr Guérif
- ↳ Spé Maïeutique 2022-2023
- ↳ Spé Maïeutique 2023-2024
- ↳ Spé Maïeutique 2024-2025
- ↳ Spé Maïeutique 2025-2026
- ↳ Demandes d'errata 2025-2026
- ↳ Spé Odontologie
- ↳ Archives
- ↳ Demande d'errata
- ↳ Demande d'errata 2022-2023
- ↳ Demande d'errata 2023-2024
- ↳ Demandes d'errata 2024-2025
- ↳ Spé Odontologie 2021
- ↳ Spé Odontologie 2022
- ↳ Spé Odontologie 2022-2023
- ↳ Spé Odontologie 2023-2024
- ↳ Spé Odontologie 2024-2025
- ↳ Spé Odontologie 2025-2026
- ↳ Demandes d'errata 2025-2026
- ↳ Spé Pharmacie
- ↳ Archives
- ↳ Demande d'errata
- ↳ Demande d'errata 2022-2023
- ↳ Demande d'errata 2023-2024
- ↳ Demandes d'errata 2024-2025
- ↳ Spé Pharmacie 2020-2021
- ↳ Pr Oudin
- ↳ Pr Glevarec
- ↳ Pr Marchais
- ↳ Pr Allouchi
- ↳ Pr Pasqualin
- ↳ Pr Viaud Massuard
- ↳ Spé Pharmacie 2021-2022
- ↳ Spé pharmacie 2022-2023
- ↳ Spé Pharmacie 2023-2024
- ↳ Spé Pharmacie 2024-2025
- ↳ Spé Pharmacie 2025-2026
- ↳ Demandes d'errata 2025-2026
- ↳ Spé Kinésithérapie
- ↳ Archives
- ↳ Demande d'errata
- ↳ Demande d'errata 2023-2024
- ↳ Demandes d'errata 2024-2025
- ↳ Spé Kinésithérapie 2021
- ↳ Spé Kinésithérapie 2022
- ↳ Spé kinésithérapie
- ↳ Spé Kinésithérapie 2023-2024
- ↳ Spé Kinésithérapie 2024-2025
- ↳ Spé Kinésithérapie 2025-2026
- ↳ Demandes d'errata 2025-2026
- ↳ Module 6
- ↳ Biologie cellulaire
- ↳ Archives
- ↳ Demande d'errata
- ↳ Demande d'errata 2022-2023
- ↳ Demande d'errata 2023-2024
- ↳ Demandes d'errata 2024-2025
- ↳ Biologie cellulaire 2020-2021
- ↳ Mme Blanchard
- ↳ Mr Hourioux
- ↳ Mr Patient
- ↳ Mr Roingeard
- ↳ Mr Clastre
- ↳ Biologie cellulaire 2021-2022
- ↳ Mme Blanchard
- ↳ Mr Hourioux
- ↳ Mr Patient
- ↳ Mr Roingeard
- ↳ Mr Clastre
- ↳ Biologie cellulaire 2022-2023
- ↳ Pr Hourioux
- ↳ Pr Blanchard
- ↳ Pr Patient
- ↳ Pr Roingeard
- ↳ Pr Clastre
- ↳ Biologie Cellulaire 2023-2024
- ↳ Pr Blanchard
- ↳ Pr Clastres
- ↳ Pr Hourioux
- ↳ Pr Patient
- ↳ Pr Roingeard
- ↳ Biologie Cellulaire 2024-2025
- ↳ Pr Blanchard
- ↳ Pr Clastres
- ↳ Pr Eymieux
- ↳ Pr Hourioux
- ↳ Pr Patient
- ↳ Pr Roingeard
- ↳ Biologie Cellulaire 2025-2026
- ↳ Pr Blanchard
- ↳ Pr Clastres
- ↳ Pr Eymieux
- ↳ Pr Hourioux
- ↳ Pr Patient
- ↳ Pr Roingeard
- ↳ Demandes d'errata 2025-2026
- ↳ Histologie
- ↳ Archives
- ↳ Demande d'errata
- ↳ Demande d'errata 2022-2023
- ↳ demande d'errata 2023-2024
- ↳ Demandes d'errata 2024-2025
- ↳ Histologie 2020-2021
- ↳ Mme Fromont
- ↳ Mr De Pinieux
- ↳ Mme Standley
- ↳ Histologie 2021-2022
- ↳ Mme Fromont
- ↳ Mr De Pinieux
- ↳ Mme Standley
- ↳ Histologie 2022-2023
- ↳ Pr Standley
- ↳ Pr Fromont
- ↳ Pr de Pinieux
- ↳ Histologie 2023-2024
- ↳ Pr De Pinieux
- ↳ Pr Fromont
- ↳ Pr Standley
- ↳ Histologie 2024-2025
- ↳ Pr De Pinieux
- ↳ Pr Fromont
- ↳ Pr Standley
- ↳ Histologie 2025-2026
- ↳ Pr De Pinieux
- ↳ Pr Fromont
- ↳ Pr Standley
- ↳ Demandes d'errata 2025-2026
- ↳ Biologie de la reproduction
- ↳ Archives
- ↳ Demande d'errata
- ↳ Demande d'errata 2022-2023
- ↳ Demande d'errata 2023-2024
- ↳ Demandes d'errata 2024-2025
- ↳ Biologie de la reproduction 2020-2021
- ↳ Biologie de la reproduction 2021-2022
- ↳ Biologie de la reproduction 2022-2023
- ↳ Biologie de la reproduction 2023-2024
- ↳ Biologie de la Reproduction 2024-2025
- ↳ Biologie de la reproduction 2025-2026
- ↳ Demandes d'errata 2025-2026
- ↳ Génétique
- ↳ Archives
- ↳ Demande d'errata
- ↳ Demande d'errata 2022-2023
- ↳ Demande d'errata 2023-2024
- ↳ Demandes d'errata 2024-2025
- ↳ Génétique 2020-2021
- ↳ Mme Toutain
- ↳ Mme Vuillaume-Winter
- ↳ Mr Andrès
- ↳ Mr Vourc'h
- ↳ Génétique 2021-2022
- ↳ Mme Toutain
- ↳ Mme Vuillaume-Winter
- ↳ Mr Andrès
- ↳ Mr Vourc'h
- ↳ Génétique 2022-2023
- ↳ Pr Vrouc'h
- ↳ Pr Andrès
- ↳ Pr Toutain
- ↳ Pr Vuillaume-Winter
- ↳ Génétique 2023-2024
- ↳ Pr Andres
- ↳ Pr Toutain
- ↳ Pr Vourc'h
- ↳ Pr Vuillaume-Winter
- ↳ Génétique 2024-2025
- ↳ Pr Andres
- ↳ Pr Toutain
- ↳ Pr Vourc'h
- ↳ Pr Vuillaume-Winter
- ↳ Génétique 2025-2026
- ↳ Pr Andres
- ↳ Pr Toutain
- ↳ Pr Vourc'h
- ↳ Pr Vuillaume-Winter
- ↳ Demandes d'errata 2025-2026
- ↳ Module 8
- ↳ Biostatistiques
- ↳ Archives
- ↳ Demande d'errata
- ↳ Demande d'errata 2022-2023
- ↳ Demande d'errata 2023-2024
- ↳ Demandes d'errata 2024-2025
- ↳ Biostatistiques 2020-2021
- ↳ Mr Tauber
- ↳ Mme Caille
- ↳ Mr Giraudeau
- ↳ Biostatistiques 2021-2022
- ↳ Mr Tauber
- ↳ Mme Caille
- ↳ Mr Giraudeau
- ↳ Biostatistiques 2022-2023
- ↳ Pr Tauber
- ↳ Pr Giraudeau
- ↳ Pr Caille
- ↳ Biostatistiques 2023-2024
- ↳ Pr Caille
- ↳ Pr Giraudeau
- ↳ Pr Tauber
- ↳ Biostatistiques 2024-2025
- ↳ Pr Caille
- ↳ Pr Giraudeau
- ↳ Pr Tauber
- ↳ Biostatistiques 2025-2026
- ↳ Pr Caille
- ↳ Pr Giraudeau
- ↳ Pr Tauber
- ↳ Demandes d'errata 2025-2026
- ↳ Philosophie des sciences
- ↳ Archives
- ↳ Demande d'errata
- ↳ Demandes d'errata 2024-2025
- ↳ Philosophie des sciences 2020-2021
- ↳ Philosophie des sciences 2021-2022
- ↳ Philosophie des sciences 2022-2023
- ↳ Philosophie des sciences 2023-2024
- ↳ Philosophie des Sciences 2024-2025
- ↳ Philosophie des Sciences 2025-2026
- ↳ Demandes d'errata 2025-2026
- ↳ Pré-rentrée
- ↳ Errata
- ↳ Archives
- ↳ Errata 2023-2024
- ↳ Errata 2024-2025
- ↳ Errata 2025-2026
- ↳ Errata Polycopié
- ↳ Errata Colle
- L.AS
- ↳ Semestre 1
- ↳ Biologie cellulaire
- ↳ Archives
- ↳ Biologie cellulaire 2020-2021
- ↳ Biologie cellulaire 2023-2024
- ↳ Biologie Cellulaire 2024-2025
- ↳ Biologie Cellulaire 2025-2026
- ↳ Biologie de la reproduction
- ↳ Archives
- ↳ Biologie de la reproduction 2020-2021
- ↳ Biologie de la reproduction 2024-2025
- ↳ Biologie de la reproduction 2025-2026
- ↳ Histologie
- ↳ Archives
- ↳ Histologie 2020-2021
- ↳ Histologie 2022-2023
- ↳ Histologie 2024-2025
- ↳ Histologie 2025-2026
- ↳ Chimie Organique
- ↳ Archives
- ↳ Chimie organique 2020-2021
- ↳ Chimie organique 2022-2023
- ↳ Chimie Organique 2023-2024
- ↳ Chimie Organique 2024-2025
- ↳ Chimie Organique 2025-2026
- ↳ Biochimie
- ↳ Archives
- ↳ Biochimie 2020-2021
- ↳ Biochimie 2022-2023
- ↳ Biochimie 2023-2024
- ↳ Biochimie 2024-2025
- ↳ Biochimie 2025-2026
- ↳ Biophysique
- ↳ Archives
- ↳ Biophysique 2020-2021
- ↳ Biophysique 2022-2023
- ↳ Biophysique 2024-2025
- ↳ Biophysique 2025-2026
- ↳ Physiologie des organes
- ↳ Archives
- ↳ Physiologie des organes 2020-2021
- ↳ Physiologie des organes 2022-2023
- ↳ Physiologie des organes 2023-2024
- ↳ Physiologie des Organes 2024-2025
- ↳ Physiologie des Organes 2025-2026
- ↳ Génétique
- ↳ Archives
- ↳ Génétique 2020-2021
- ↳ Génétique 2024-2025
- ↳ Génétique 2025-2026
- ↳ Initiation aux médicaments
- ↳ Archives
- ↳ Initiation aux médicaments 2020-2021
- ↳ Initiation aux médicaments 2021-2022
- ↳ Initiation aux médicaments 2022-2023
- ↳ Initiation aux médicaments 2023-2024
- ↳ Initiation aux Médicaments 2024-2025
- ↳ Initiation aux Médicaments 2025-2026
- ↳ Santé Publique
- ↳ Archives
- ↳ Santé Publique 2020-2021
- ↳ Santé Publique 2023-2024
- ↳ Santé Publique 2024-2025
- ↳ Santé Publique 2025-2026
- ↳ Présentation aux métiers de la santé
- ↳ Archives
- ↳ Présentation aux métiers de la santé 2020-2021
- ↳ Présentation aux métiers de la santé 2023-2024
- ↳ Présentation aux Métiers de la Santé 2024-2025
- ↳ Présentation aux Métiers de la Santé 2025-2026
- ↳ Philosophie des sciences
- ↳ Archives
- ↳ Philosophie des sciences 2020-2021
- ↳ Philosophie des sciences 2023-2024
- ↳ Philosophie des Sciences 2024-2025
- ↳ Philosophie des Sciences 2025-2026
- ↳ Semestre 2
- ↳ Errata
- ↳ Archive
- ↳ Errata 2020-2021
- ↳ Errata 2022-2023
- ↳ Errata 2024-2025
- ↳ Errata 2025-2026
- ↳ Pré-rentrée
- Pharmacie TEPT
- ↳ Orientation, général & divers
- ↳ 2A
- ↳ Erratas ronéos
- ↳ S1
- ↳ Biochimie
- ↳ Biophysique
- ↳ Chimie analytique
- ↳ Formulation et fabrication
- ↳ Génétique moléculaire et biologie cellulaire
- ↳ Sciences pharmacologiques
- ↳ Procaryotes
- ↳ Règne animal
- ↳ Règnes végétal et fongique
- ↳ S2
- ↳ Anglais
- ↳ Bio-ingénierie végétale
- ↳ Chimie analytique
- ↳ Formulation et fabrication
- ↳ Pharmacognosie
- ↳ Hématologie
- ↳ Immunologie
- ↳ Infectiologie générale
- ↳ Synthèse organique
- ↳ 3A
- ↳ Erratas ronéos
- ↳ S1
- ↳ Anglais
- ↳ Biopharmacie
- ↳ Hématologie
- ↳ Immunologie
- ↳ Infectiologie clinique
- ↳ Organisation, gestion et communication
- ↳ Physiologie
- ↳ S2
- ↳ Anglais
- ↳ Biotechnologie
- ↳ Cardiologie et néphrologie
- ↳ Contrôle qualité
- ↳ Endocrinologie
- ↳ Informations médicales et communication
- ↳ Pharmacognosie
- ↳ Santé publique
- ↳ 4A
- ↳ CSP
- ↳ Erratas ronéos
- ↳ S1
- ↳ Anglais
- ↳ Douleurs et maladies du SNC
- ↳ Médicaments du SI et biothérapies
- ↳ Pharmacie clinique et épidémiologie
- ↳ ORL et pneumologie
- ↳ Santé publique, réglementation et déontologie
- ↳ S2
- ↳ Cancérologie
- ↳ Education thérapeutique
- ↳ Gastrologie-Entérologie-Hépatologie
- ↳ Toxicologie clinique
- Sage femme L2
- ↳ Semestre 1
- ↳ Pharmacologie
- ↳ Appareil cardio-respi
- ↳ Reins et voies urinaires
- ↳ Hématologie
- ↳ Santé publique
- ↳ Embryologie
- ↳ Sémiologie
- ↳ Ed/TP
- ↳ Orthopédie
- ↳ Ophtalmologie
- ↳ Neurologie
- ↳ Digestif
- ↳ Dermatologie
- ↳ Hébergement
- ↳ Bien-être
- ↳ Semestre 2
- ↳ Anglais
- ↳ Santé publique
- ↳ SSH
- ↳ Nutrition
- ↳ Hormono
- ↳ Gynécologie
- ↳ Pédiatrie
- ↳ Obstétrique
- ↳ ED/TP
- ↳ Archive
- Vie étudiante
- ↳ Orientation
- ↳ Pédagogie et Bien-être
- Oraux