Helloooooo Balthazar !
Alors étant la meilleure tutrice de chimie orga, c'est moi qui te réponds

Les additions 1,2 et 1,4 sont des réactions d’addition d’organomagnésien sur les carbonyles 𝛼,𝛽-insaturé.
Un carbonyle 𝛼,𝛽-insaturé correspond à une molécule comportant une double liaison-simple liaison-carbonyle.

L’organomagnésien va réagir sur les centres 𝛿+, il peut donc s’additionner sur le carbone du carbonyle ou sur le carbocation formé par la forme mésomère. En effet, les doubles liaisons conjuguées permettent de créer des charges.

- centre delta +.png (40.89 Kio) Consulté 2370 fois
L'addition 1,4 :
L’addition 1,4 débute par la formation d’une forme mésomère. Dans cette addition, l’organomagnésien s’additionne sur le carbocation qui correspond au carbone 4 ou 𝛽. On retrouve donc le R de RMgX sur le carbone 𝛽.
En effectuant une hydrolyse acide, on obtient une forme énol qui, par tautomérie, se transforme en dérivé carbonylé.
Molécule finale : L’addition 1,4 permet donc de conserver le carbonyle (par la tautomérie) et de retrouver le R sur le carbone 4. Néanmoins, l’oléfine disparaît.

- addition 1,4.png (79.68 Kio) Consulté 2370 fois
L'addition 1,2 :
L’addition 1,2 correspond, elle, à une addition de l’organomagnésien sur le carbone du carbonyle.
Molécule finale : On obtient donc, après hydrolyse acide, un alcool et le R de l’organomagnésien sur le carbone 2 (le 1 correspond à l’oxygène). L’oléfine est conservée mais ne permet pas de faire une relation de tautomérie (on n’a pas de forme énol).
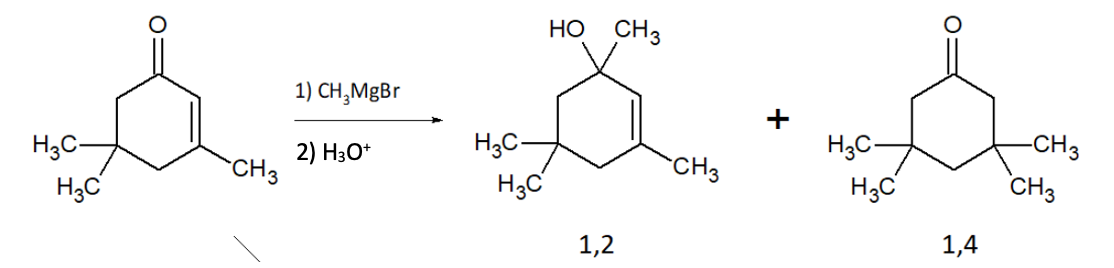
Voici un exemple des deux additions afin que tu puisses visualiser les molécules finales :

- exemple.png (58.49 Kio) Consulté 2370 fois

Il est à noter qu’avec les organomagnésiens, on obtient à la fin un mélange des deux additions.
Néanmoins, les sels de cuivre CuBr permettent de favoriser l’addition 1,4. A l’inverse, une addition d’organolithien RLi sur un carbonyle 𝛼,𝛽-insaturé conduit uniquement à une addition 1,2.
J'espère que tu as réussi comprendre mon explication ! Hésites pas à me répondre pour me dire que c'est le cas, ou bien si tu as d'autres questions !!
Bon courage pour les révisions Balthazarrr
