Coucou
Dans cet exercice, on te donne les
écart-types estimés s pour chaque groupe. Il te suffit donc de mettre au carré ces données pour obtenir la
variance estimée s^2 de chaque groupe.
Pour reprendre avec les données :

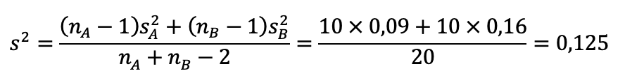
groupe A : écart-type estimé = 0,3 donc variance estimée s^2 = 0,09

groupe B : écart-type estimé = 0,4 donc variance estimée s^2 = 0,16
Tu obtiens donc une variance commune :

- Capture d’écran 2021-05-13 à 14.58.41.png (15.67 Kio) Consulté 5573 fois
J'espère que c'est clair

n'hésites pas si tu as d'autres questions
Bon courage et ne lâche rien <333