Salut Flav.2 !
Je vais te refaire un petit point sur ces 2 réactions
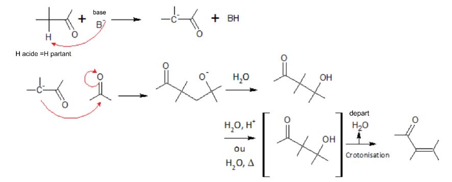
Tout d'abord, il est essentiel de rappeler que la cétolisation et l'aldolisation correspondent à une addition de carbanions C- provenant de composés à H mobile/acide sur un carbonyle.
En effet, dans les 2 cas, le première étape, soit l'utilisation d'une
base, va avoir pour objectif
d'arracher un hydrogène H en α du carbonyle qui va pouvoir partir à l'état de
proton H+. Ce départ va donc générer un
carbanion.
Rappel : CI- > CII- > CIII-. On va donc générer le carbanion
le plus stable.

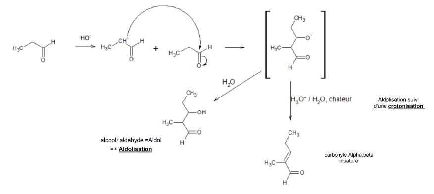
Dans le cas d'une
aldolisation :

- aldolisation.JPG (26.67 Kio) Consulté 3787 fois
Après génération de notre carbanion
en α de l'aldéhyde, il est alors possible pour ce dernier d'aller attaquer le carbone porteur du carbonyle de la molécule ajoutée grâce à son caractère électropositif δ+.
Comme tu peux le remarquer dans le mécanisme ci-dessus, l'
hydratation permettant de terminer notre réaction aboutit à la formation d'un
aldol, c'est-à-dire d'un composé portant une aldéhyde ainsi qu'un alcool.
PS : pour rappel, je t'ai laissé la réaction de crotonisation qui mène à un carbonyle α,β insaturé en présence d'hydrolyse acide ou d'hydrolyse en présence de chaleur

Pour répondre à ta question, il est important de comprendre que la génération d'un carbanion
en α de l'aldéhyde est à l'origine de la formation de l'aldol. La formation de l'aldol est en effet la conséquence du fait que le carbanion soit généré en α de l'aldéhyde.
En effet, tu peux observer sur le mécanisme que l'aldéhyde située sur la molécule sur laquelle un carbanion a été généré ne bouge pas. L'alcool étant créé sur la molécule ajoutée,
on se base donc sur la molécule initiale pour savoir si un aldol ou un cétol est formé !

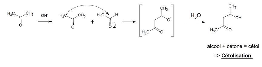
Dans le cas d'une
cétolisation :

- cétolisation.JPG (29.06 Kio) Consulté 3787 fois
C'est exactement le même mécanisme qui a lieu ici. En effet, la génération du
carbanion en α de la cétone lui permet d'aller attaquer un carbonyle et après désydratation, de former cette fois-ci un
cétol.
Pour te prouver que la formation d'un aldol/cétol est la conséquence de la formation d'un carbanion en α d'un aldéhyde/d'une cétone, prenons le mécanisme suivant :

- cétolisation 2.JPG (21.76 Kio) Consulté 3787 fois
Dans cette réaction, de l'éthanal et du propanone sont utilisés.
Or, Maîtresse vous a bien expliqué qu'un aldéhyde est plus réactif qu'une cétone. En effet, les groupements alkyles étant donneurs par effet inductif (δ+), ils vont compenser le caractère δ+ du carbone portant la cétone.
Ainsi, comme l'aldéhyde est plus réactif, la base va former un carbanion en α de la cétone, lui permettant d'attaquer le carbone portant l'aldéhyde, plus réactif, plus électropositif.
Alors, comment va-t-on déterminer s'il s'agit d'une cétolisation ou d'une aldolisation ?

On forme un carbanion
en α de la cétone

De part cette attaque, le mécanisme nous conduit bien à la formation d'un
cétol et ce, même si on attaque un aldéhyde.
En conclusion :

La base va arracher un proton et créer un carbanion C- en α d'un carbonyle

Si on crée un carbanion
en α d'un aldéhyde, on aboutit à un
aldol : on parle d'
aldolisation

Si on crée un carbanion
en α d'une cétone, on aboutit à un
cétol : on parle de
cétolisation
On se base donc bien sur notre molécule de départ
J'espère que c'est plus clair pour toi maintenant

N'hésite pas à reposer ta question si ce n'est pas le cas
Toute la team chimie o te souhaite pleiiin de courage et te fais des bisouuuus (en wifi) <3