Saluuuut briana,
La réaction d’hémiacétalisation et l’hémiacétalisation définissent la même chose
Je te fais un ptit récap pour être sûr

:
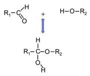
La réaction d’hémiacétalisation (ou hémiacétalisation) est une
réaction spontanée entre une
fonction alcool et une
fonction aldéhyde pour donner une fonction hémiacétale.

- 1.jpg (5.05 Kio) Consulté 1504 fois
On observe cette réaction à l’intérieur des oses, ce qui va induire une cyclisation de ces derniers. On aura alors l’apparition d’un
nouveau carbone asymétrique que l’on va appeler
carbone anomérique (en jaune).

- 2.jpg (16.13 Kio) Consulté 1504 fois
Voilà c’est tout pour moi !

n’hésite pas à nous relancer si tu as d’autres questions ou si la réponse n’est pas assez claire
La team bioch’ te souhaite un max de courage, zoubi ! <3