Hellooooo

,
Alors effectivement quand on a une réaction entre un aldéhyde et une cétone on parlera toujours de
cétolisation car c'est
la cétone qui attaque l'aldéhyde et je vais essayer de t'expliquer pourquoi pour être sûre que c'est clair :

En fait c'est une question de réactivité : Maitresse nous explique qu'
un aldéhyde est plus réactif qu'une cétone
Un groupement carbonyle est polarisé : l'oxygène δ- et le carbone δ+, le caractère δ+ de ce carbone peut être compensé par la présence de groupements donneurs par effet inductif à ses côtés :
- la cétone possède deux groupements alkyles +I autours de son carbonyle
- L'aldéhyde ne possède qu'un unique groupement +I

- réactivité.jpg (7.37 Kio) Consulté 2774 fois

Ainsi on comprend que l'aldéhyde étant moins "compensé", il sera un
centre plus électrophile qui aura plus besoin d'être stabilisé par un nucléophile.
C'est pourquoi le
carbanion sera créé sur la cétone pour aller attaquer le l'aldéhyde et c'est la cétone qui conservera son carbonyle "intacte" -> D'où la
cétolisation
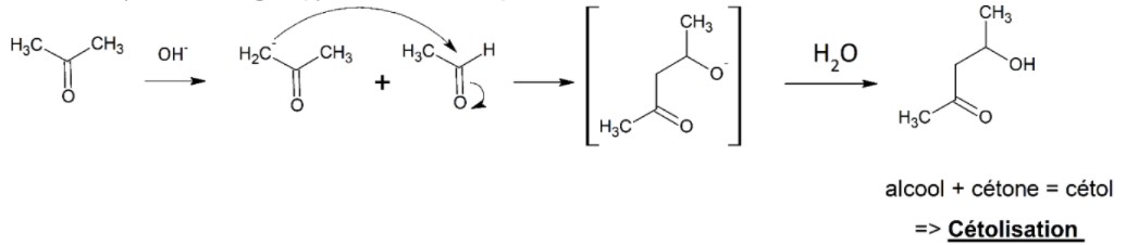
Je te remet le mécanisme :

- cétolisation.jpg (21.78 Kio) Consulté 2774 fois
Si je te fais un résumé rapide des termes, on a :
- Aldolisation : réaction entre deux aldéhydes -> formation d'un aldol (aldéhyde + alcool)
- Cétolisation : réaction entre deux cétones ou une cétone et un aldéhyde -> formation d'un cétol (cétone + alcool)

Et finalement si on prend l'exemple de ton QCM dans la réaction de F à G on a bien :
- La base qui va créer un carabinon primaire en alpha du carbonyle de la molécule F
- Le carbanion qui attaque le carbonyle du propanal ->cétolisation
- L'hydrolyse acide qui permet la crotonisation finale
Donc une
cétolisation suivie d'une crotonisation
Voila j'espère avoir été claire si jamais ce n'est pas le cas ou si tu as d'autres questions hésites pas à nous renvoyer un petit message
Gros bisous de toute la team Chimie Orga, on te souhaite plein de courage !! Donnes tout c'est bientôt les vacances
<3<3<3