Salut !! J'espère que le semestre se passe bien pour toi
Je vais reprendre ce beau qcm de biofun avec toi étape par étape en espérant que t'y voies plus clair
☞ La première chose à faire dans un exo c'est de retrouver la formule qui unit les grandeurs qui nous intéressent dans l'énoncé, en l'occurrence ici c'est
I = 𝜎 × S × E et
l'objectif est de retrouver la valeur du champ électrique E
Sachant que I est déjà connu, il faut déterminer 𝜎 puis S pour finalement calculer E.
➢ On nous donne dans l'énoncé la valeur de 𝜌 la résistivité et c'est elle qui va nous permettre de retrouver la conductivité 𝜎 car elle correspond à son inverse :
𝜎 = 1/𝜌 soit 𝜎 = 1/(16×10^-9) = 625 × 10^5 Ω-1m-1 d'après l'aide au calcul
➢ Il faut maintenant retrouver S, c'est-à-dire la surface du câble en argent. La formule à connaître et appliquer ici est S = 𝜋 × r^2
⚠︎ Attention ⚠︎ : dans l'énoncé on te donne le diamètre mais c'est bien le rayon qu'il faut utiliser, il va falloir donc diviser le diamètre par 2 soit :

- Capture d’écran 2023-10-12 à 11.26.48.png (20.22 Kio) Consulté 1237 fois
(d'où le 3/2).
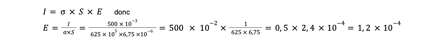
➢ Enfin, il faut isoler E et remplacer les autres variables par leurs valeurs :

- Capture d’écran 2023-10-12 à 11.34.52.png (26.96 Kio) Consulté 1237 fois
(~oups petit errata au niveau de la puissance dans la correction c'est bien 10^-4 et pas 10^-3

~)
Voilà, j'espère que c'est plus clair pour toi si non n'hésite pas à me relancer ou à venir nous voir en perm tuteurs !
Et si tu as d'autres questions tu peux toujours les poser sur le forum !
Toute l'équipe de biofun te souhaite bon courage !! <3
