Saluuuut ! Je vais essayer de t’expliquer tout ça
Pour comprendre ça, il faut savoir ce qu’il y a de l’autre côté de l’équation, on va reprendre ça point par point.
l’anale 2022
Là, il faut comprendre qu’à gauche de l’équation, il y a une temps de dimension T. Donc dans la partie droite
, il ne doit rester que de la dimension T la masse de dimension M^α doit « disparaître ». La masse ne doit pas être présente. M^0-=1, donc M a disparu et α=0. Je t’ai refait la démo ci-dessous

Mon explication est transposable à L^β+γ où L doit aussi disparaître donc β+γ=0 aussi.

- IMG_0712.jpeg (193.43 Kio) Consulté 5641 fois
La colle
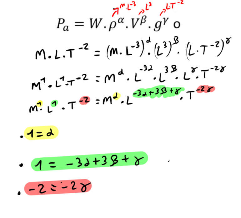
Là, pareil, à la gauche de l’équation tu as une force et non plus un temps.
La dimension de la puissance est M.L.T^-2. Donc la masse doit être exprimée une fois et non plus 0 car elle est présente à gauche de notre équation. Seul le terme à la puissance α a une masse donc α=1. Pareil, je t’ai refait el schéma pour piger ça.

- IMG_0715.jpeg (148.2 Kio) Consulté 5641 fois
Voilà, j’espère que tu as mieux compris ce type d’exercice.
Bon courage pour la fin lâche rien on croit en toi
Antoine.