Salut Léo !! J'espère que tes révisions se passent bien !
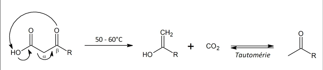
La réaction de
décarboxylation est une réaction chimique où un
groupement carboxyle (-COOH) est éliminé de ta molécule, souvent sous forme de
gaz carbonique (d'où le
CO2 à chaque fois).
En effet, les acides carboxyliques ordinaires sont
stables à de très hautes températures (+ de 200°C). Cependant, la présence de groupement d
ésactivant par effet mésomère (-M) en
BETA d’un acide carboxylique permet la décarboxylation à environ
50-60°C, donc par
chauffage modéré.

- Capture d’écran, le 2024-12-09 à 21.43.00.png (87.82 Kio) Consulté 2734 fois
Petit rappel : le carbone ALPHA est le carbone 2, soit celui adjacent au groupement COOH. Et le carbone BETA est celui qui suit.
Dans l'exemple de ta fiche (que je t'ai remis au dessus) tu vois bien que c'est une cétone qui est en BETA.
- 1ère flèche : Celle qui est en bas, partant de l'oxygène du -OH. Les électrons se rabattent pour former une double liaison.
- 2ème flèche : La flèche à droite de la première. Le carbone du -COOH possède alors 5 liaisons. Donc on va avoir la rupture entre le carbone ALPHA et le carbone du -COOH. Cette flèche sert simplement à montrer que la liaison entre les deux est rompue, les électrons de cette liaison vont alors migrer pour former une double liaison entre le carbone ALPHA et le carbone BETA.
- 3ème flèche : Celle qui part du C=O à -OH. Comme pour avant le carbone de la cétone possède maintenant 5 liaisons, c'est beaucoup trop
ainsi, il va y avoir une petite étape intermédiaire avec un O- qui va attirer l'hydrogène du -OH de l'acide carboxylique et faire une liaison avec. Ce qui te forme finalement bien ton énol (molécule avec double liaison + alcool), et le dégagement de CO2 (qui vient donc de l'acide carboxylique)
Et finalement tu auras une
tautomérie que l'on appelle
"céto-énolique" du fait que le proton (l'hydrogène) du -OH migre vers le carbone voisin pour transformer l'énol en une cétone. Cette cétone est notre
produit final.
Voilà j'espère que c'est plus clair ! C'est assez difficile d'expliquer à l'écrit donc n'hésite pas à regarder des explications sur youtube si besoin ! Je te mets un lien d'une vidéo qui explique assez bien la décarboxylation :
https://fr.khanacademy.org/science/orga ... boxylation
L'équipe de CO te souhaite bon courage !!
