Page 1 sur 1
QSC 10 COLLE SUP 2
Publié : 28 avril 2021, 20:31
par chihiro
Bonjour
je ne comprends pas pourquoi on calcule la variance commune alors que les écarts types estimés sont connus, concernant le Qcs 10 de la colle Sup 2 ...
Quelqu'un pourra m'expliquer s'il vous plaît ?
Mercii d'avance
Re: QSC 10 COLLE SUP 2
Publié : 29 avril 2021, 12:24
par Marionous
Coucou,
Il faut bien faire la différence entre :

les écart-types
estimés notés s

les écart-types
observés de l'échantillon notés σ
e.
Dans ce qcs, on te donne les écart-types estimés de chaque groupe, donc s
1 et s
2.
Donc on est dans le cas de figure suivant :
- σ
p1 et σ
p2 sont inconnus
- n1 et n2 < 30

Il faut donc obtenir une DNS au test de Fisher pour estimer la variance commune s^2 et ensuite calculer t
c.
J'espère que c'est plus clair pour toi

n'hésites pas si tu as d'autres questions
Toute la team t'envoies plein de force et lache rien dans cette dernière ligne droite <333
Re: QSC 10 COLLE SUP 2
Publié : 29 avril 2021, 18:43
par chihiro
Rebonjour
J'ai toujours du mal avec ce QCS , car en faisant d'autres exercices , j'ai remarqué que quand on a l'écart type observé on cacule la variance commune mais qd on a l'ecart type estimé ça correspond à l'ecart type estimé de la population, du coup on a pas besoin de calculer la varaince commune...
je pensais que l'ecart type observé c'est celui de l'échantillon ...
Re: QSC 10 COLLE SUP 2
Publié : 01 mai 2021, 10:36
par Marionous
Coucouuuu,
En effet, tu as raison !
L'écart-type observée correspond à celui de l'échantillon et est noté
σe.
L'écart-type de la population sera noté
σp.

Pour calculer une variance commune il faut que les écart-types de la population soient inconnus et que
n1 ou n2 < 30.

Lorsque
n1 et n2 > 30, tu n'as
pas besoin de calculer une variance commune ! Il faut cependant calculer la variance estimée pour chaque groupe (si on te la donne pas dans l'énoncé) pour pouvoir calculer zc.
Ainsi dans le qcs 10,
n1 et n2 < 30, et les écart-types σp sont inconnus. Dans l'énoncé, on te donne les écart-types estimés c'est-à-dire s1 et s2 donc pour obtenir les variances estimées il te suffit de les mettre au carrés s1^2 et s2^2.

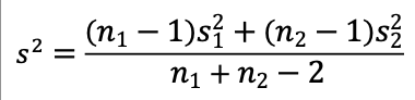
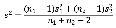
Il faut donc calculer une
variance commune à partir de la formule suivante :

- Capture d’écran 2021-05-01 à 16.01.40.png (8.93 Kio) Consulté 7466 fois
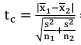
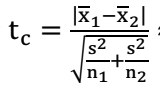
Une fois le calcul de la variance commune, tu peux calculer tc à partir de la formule suivante :

- Capture d’écran 2021-05-01 à 16.07.04.png (5.73 Kio) Consulté 7466 fois
J'espère que tu as compris la subtilité de ce qcs, n'hésites pas si tu as d'autres question
Bon courage <333