Salut,
Je te fais un petit récap' des différentes écart-types / variances :
l'écart-type estimé est noté s
la variance estimée est notée s^2
l'écart-type observé est noté σ
e
la variance observée est notée σ
e^2
Le test de Fisher permet la comparaison de variances estimées notées s^2.
- Soit dans l'énoncé, on nous donne directement les
variances estimées s^2 dans ce cas là, on utilise direct la formule
- Soit dans l'énoncé, on nous donne les
écart-types estimés s, dans ce cas-là, il y a juste besoin des les mettre
au carrés et après on utilise la formule
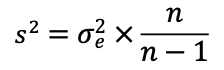
- Soit on nous donne la
variance observée σe^2 ou l'écart-type observé σe , dans ce cas-là, il faut
estimer les variances à l'aide de la formule suivante :

- Capture d’écran 2021-03-19 à 11.36.16.png (5.19 Kio) Consulté 3848 fois
Si on reprend l'énoncé du prof, il nous donne les
écart-types estimés, il suffit donc de les mettre
au carrés et ensuite on calcule f
c :

- Capture d’écran 2021-03-19 à 11.39.18.png (6.67 Kio) Consulté 3848 fois

Attention de bien mettre
la plus grande variance au numérateur et la plus petite variance au dénominateur
J'espère avoir répondu à ta question !! n'hésites pas si tu en a d'autres
Bon courage et toute la team biostats t'envoies de la force <33