Page 1 sur 1
Colle 1, QCM 30
Publié : 12 octobre 2020, 17:02
par Maya
Saluuut !
Pour le QCM 30, de la première colle, je ne comprends pas la correction (pour les item A, B, C).
Merci d'avance !

Re: Colle 1, QCM 30
Publié : 21 novembre 2020, 13:01
par Hectordm
Reboujour !
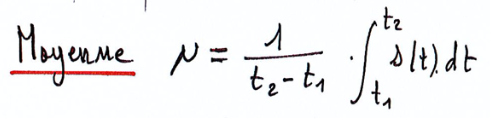
Ici il est demandé de calculer la moyenne d’un signal analogique donc il faut utiliser la formule :

- Capture d’écran 2020-11-21 à 13.09.10.png (54.87 Kio) Consulté 16341 fois
Pour l’expliquer brièvement, cette formule reprend les cours de maths de terminal sur les
intégrales. La moyenne est calculée par la connaissance de l’
aire sous la courbe décrite par le signal (c’est le principe d’une intégrale). L’intégrale d’une fonction s(t) entre un temps t1 et un temps t2 est donnée par la différence
S(t2) – S(t1) avec
S la primitive de s.
Il est donc très utile de connaitre les dérivés et les primitives pour ce type d’exercice
(je te mets un tableau regroupant quelques primitives utiles à connaitre).
Je t’invite à revoir les cours de maths de terminal sur les primitives pour mieux comprendre tout ça.
Encore désolé pour l’attente de cette réponse Maya.

J’espère avoir pu t’éclairer et que maintenant ces formules ne te posent plus aucun problème.
Passe un bon week-end, toute l’équipe de biophysique t’envoie plein d’amour !
