Page 1 sur 1
images manquantes
Publié : 20 mai 2021, 13:42
par mc2801
Bonjour, il manque le graphe de la colle sup' question 36 (j'ai vu que pr les questions 16 et 55 le problème était réglé).
Il manque aussi l'image de la question 14 de l'ECB des LAS.
merci d'avance

Re: images manquantes
Publié : 21 mai 2021, 13:07
par Maxime
Coucou !
On est désolé pour toutes ces images manquantes : les images ont tendance à disparaitre quand on extrait les colles de tharmo
Voici l'image de la colle sup :

- colle sup qcm 36.PNG (33.29 Kio) Consulté 3124 fois
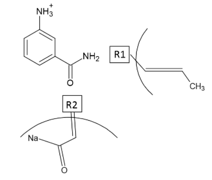
Et voici celle de l'ECB :

- ECB qcm 14.PNG (17.6 Kio) Consulté 3124 fois
La spé pharma te souhaite bon courage pour ces derniers jours <3