Salut Pomme !
La team PC espère que tu vas bien !

Tout d'abord, il faut comprendre que l'équation de dissociation te dit que HSO3- (désolée pour l'écriture), un acide, se dissocie en H+ et en SO3 2-. Les H+ vont s'associer avec l'eau pour former H3O+.

De plus, la concentration en H3O+, et donc en H+, est égale à 0,48 mol/L soit 480 mmol/L ce qui est inférieure à la concentration initiale en HSO3- (800 mmol/L). On est donc dans le cas d'un acide faible.

En se rapportant à la diapo 12 du cours du Pr Dufour sur le pH, il est alors possible de former ce tableau avec C la concentration en HSO3- et alpha le coefficient de dissociation.

- dissociation HSO3-.PNG (3.32 Kio) Consulté 6764 fois
La première colonne te donne la concentration en HSO3- avant (ligne 2) et après (ligne 3) dilution. Les deux colonnes suivantes te donnent les concentrations avant (ligne 2) et après (ligne 3) dilution des ions formés par la dissociation de HSO3-.

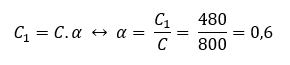
Or, tu connais la concentration C1 d'ions H+ formés. Ainsi,

- calcul de alpha.PNG (1.94 Kio) Consulté 6764 fois
.

Tu as alors déterminer le coefficient de dissociation alpha.
En espérant avoir été claire. Si tu as d'autres questions, n'hésite pas !
La team PC t'envoie tout son courage !
