Salut adcc !
Désolé pour la réponse tardive
Dans le cas des tests paramétriques, il est important de distinguer ces deux types de tests : MO-MO et MO-MT
1)
Les tests MO-MT
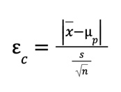
Dans ce cas, tu compare la moyenne théorique d'une variable/grandeur étudiée d'une population par rapport à celle d'un échantillon de taille n, ayant une moyenne et un écart-type.
Tu chercheras à savoir en fonction de la moyenne et de l'écart-type de l'échantillon si elle diffère significativement de celle de la population, par l'utilisation de la formule suivante :

- MO-MT paramètre.jpg (6.27 Kio) Consulté 1267 fois
Si
n est supérieur ou égal à 30 et/ou l'écart type de la population est connu : tu utilises la table de la
Loi Normale et tu compares à la valeur zα pour vérifier une différence significative/ou non entre l'échantillon et la population au risque α donné
Si
n < 30 et l'écart type de la population est inconnu : tu utilises la table de student à (n-1)ddl et tu compares la valeur calculée à la valeur tα pour vérifier une différence significative/ou non entre l'échantillon et la population au risque α donné. Tu utiliseras l'écart-type estimé de l'échantillon
ATTENTION : Si n < 30 et l'écart type de la population est inconnu, il faut toujours vérifier que les données sont normalement distribuées (c'est généralement précisé dans l'énoncé
Exemple d'énoncé : Aurélien s’ennuie en attendant le bus, il décide donc de mesurer l’IMC de 26 caennais. Il trouve un IMC moyen de 24,6 et un écart-type estimée de 6. L’IMC moyen des français est de 23,9.
est-il possible de dire que l’IMC des caennais est différent par rapport à la population générale ?
Dans ce cas là : n=26, MO (notée x̄) = 24,6, écart type σ = 6, MT (noté μ) = 23,9
Ici, l'écart type de la population n'est pas connu, on connait en revanche celui de l'échantillon. Il faut utiliser la table de Student à 25 ddl pour comparer la valeur tc à tα.
Dans cette formule : le paramètre s correspondra à l'écart type de l'échantillon s

- MO-MT paramètre.jpg (6.27 Kio) Consulté 1267 fois