Salut!
Alors on va faire le point sur le test de l'écart réduit:
- Tout d'abord ce test s'utilise dans les
mêmes conditions que le Chi2 d'indépendance. Il sera donc préciser dans l'énoncé quel test il faut utiliser ou les items peuvent aussi t'aider à choisir. En effet, si dans un item tu vois écrit "X2=" alors tu feras un Chi2 mais si tu vois une proportion "p" tu utiliseras le test de l'écart réduit.
- Pour utiliser ce test, dans l'énoncé il y aura surement un tableau à 4 cases, comme celui-ci:

- Tableau.png (182.96 Kio) Consulté 5243 fois
Tu as besoin de trouvé
p(t+) qui est la portion de "réussite sachant qu'on a fait quelque chose" et
p(t-) qui est la proportion de "réussite sachant qu'on n'a pas fait quelque chose".
Pour les trouver tu vas regarder seulement la première colonne du tableau donc:
-> p(t+) = 12/20
-> p(t-) = 18/80
Ensuite il faut que tu trouve
n+ qui correspond à l'effectif qui à "fait quelque chose" et
n-. Donc n+ = 20 et n- = 80
(La deuxième colonne du tableau ne sert donc à rien).
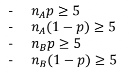
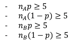
- Avant de continuer le test, fais bien attention aux
conditions d'application, inscrit juste en dessous

- Conditions.png (30.94 Kio) Consulté 5243 fois
- Puis tu peux calculer la statistique du test grâce à la formule et terminer par la comparer à la valeur théorique, que tu trouve en utilisant la
table de la Loi Normale (souvent égale à 1,960)

- Formule.png (17.17 Kio) Consulté 5243 fois
Je sais que ce test est un peu dur, j'espère t'avoir aider dans la démarche.

Si tu as encore des questions n'hésite pas à l'envoyer.
Bon courage pour ces dernières semaine.
Elise, tutrice de biostat'