Hellooo Emilien, j’espère que tu vas bien
Alors déjà, petit rappel :

- 29083164-1D16-4E2B-A296-31EBAF5429A0.jpeg (48.31 Kio) Consulté 893 fois
Sur un benzène substitué, tu retrouveras
3 positions possibles :
-
Ortho : position juste à côté du substituant
-
Méta : un carbone plus loin
-
Para : en face du substituant
Mais cela dépend de la nature de ton groupement :
-
Activant par effet mésomère (+M) ou par effet inductif (+I) → dans la réduction de Birch il orientera en
ORTHO et
META
-
Désactivant par effet mésomère (-M) ou par effet inductif (-I) → dans la réduction de Birch il orientera en
PARA

- B0BC748A-C46F-4311-97F5-D388C845ACF2.jpeg (65.42 Kio) Consulté 893 fois
Donc pour en revenir à ton QCM, on voit que sur ta molécule F il n’y a qu’un groupement, qui est un groupement carbonyle (cétone). Donc comme tu l’as dit, il est bien désactivant par effet mésomère (-M), donc dans la réduction de Birch ça orientera bien en PARA.
Que veut dire en PARA ?
C’est à dire que
la position en PARA ne sera pas occupée par une double liaison.

Ce qui ne va pas dans la molécule G, car on voit que les positions qui ne sont pas occupées c’est les positions en META et ORTHO du groupement (donc cela aurait été le bon cas de figure si le substituant était un groupement activant).

DONC : lorsque que tu as
qu’un seul substituant, le groupement de référence c’est celui ci.

ET : lorsque tu as plusieurs substituants
(prenons l’exemple suivant)

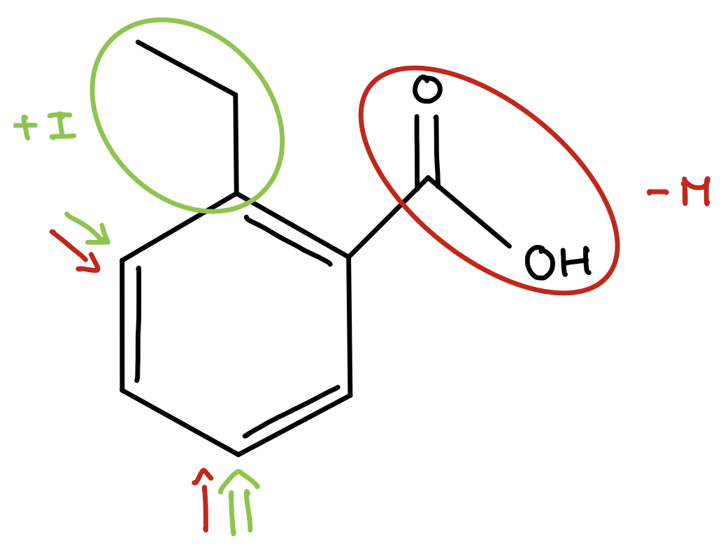
- EEC8A581-14AA-4CD6-BCAF-3678560D5832.jpeg (165.2 Kio) Consulté 893 fois
Tu regardes là où il y a le + de flèches, là en occurence, il y en a 2 sur les 2 endroits possibles mais la position PARA étant prioritaire sur la position ORTHO, la réaction se fera sur le carbone où il y a la double flèche.

ET aussi toujours garder en tête que
+M > +I : donc lorsque qu’il n’y a pas 2 flèches sur un carbone c’est le groupement +M qui devient le « groupement de référence ».
Voilà voilà, excuse moi pour cette réponse archi longue mais j’espère que j’ai répondu à toutes tes interrogations, sinon n’hésite pas à venir nous voir en perm tuteur pour qu’on te donne plus d’explications !
La CO t’envoie plein de courage pour la suite de tes révisions <333