Salut Emilien ! Tout d’abord, saches que tu ne nous déranges absolument pas car nous sommes là pour ce genre de questions (donc n’hésite pas à l’avenir aussi

).
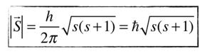
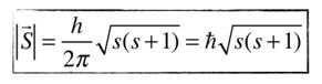
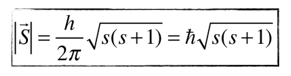
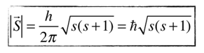
Donc, voici la formule dont tu nous as parlé. Ici, il faut savoir que le « s » représente le nombre quantique de spin. (Si tu veux aller voir, c’est la diapo 7 de son cours et c’est marqué juste en dessous de la formule.)

- Capture.PNG (7.93 Kio) Consulté 2890 fois
Cependant savoir son petit nom ne permet pas forcément de bien comprendre ce que cela représente. en
RMN, il faut savoir que pour un électron, un proton ou un neutron, la valeur du nombre quantique de spin s sera toujours de s=1/2
dans le cours du prof. C’est ce qui rend une particule visualisable par un scanner RMN. En revanche si s=1 ou 2 par exemple, c’est-à-dire des valeurs entières, les particules concernées ne seraient pas visibles.
Seuls les noyaux dont Z et/ou A impair ont un spin nucléaire. (Cf. diapo 14)

- Capture2.PNG (15.2 Kio) Consulté 2890 fois
J’espère que cette réponse te conviendra. Je te conseille de faire des qcms sur ce cours qui n’est pas simple, il faut l’avouer ! N’hésite pas à poser des questions sur le forum ou à venir aux perms tuteurs le mercredi à midi.
Florent, tuteur de Physico-Chimie