Page 1 sur 1
cours ondes sonores
Publié : 03 décembre 2023, 07:15
par gélose
Salutt!!
J'ai pas compris l'exemple de patat à la fin de son dernier cours, je vois pas l'intérêt du log? ù
Mercii

Re: cours ondes sonores
Publié : 03 décembre 2023, 17:53
par inDianaJones
Coucou !! j'espère que cette période de révision se passe bien pour toi
ce sont de nouvelles notions donc c'est normal si elles te posent problème mais tu as beaucoup de chance car aujourd'hui c'est la meilleure tutrice de biofun qui te répond
☞ Pour calculer le niveau sonore en dB tu disposes de plusieurs formules :

- Capture d’écran 2023-12-03 à 18.38.39.png (79.66 Kio) Consulté 9114 fois
Le
log est là pour
convertir l'unité d'une de ces 3 grandeurs en décibels (dB).
celle qui est à utiliser ici est celle en fonction de la
pression acoustique et notamment celle qui utilise le facteur 20 car la pression n'est pas au carré donc la formule est plus facile à appliquer
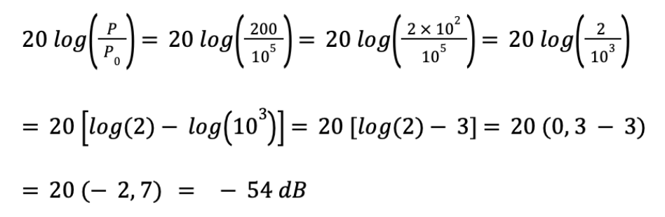
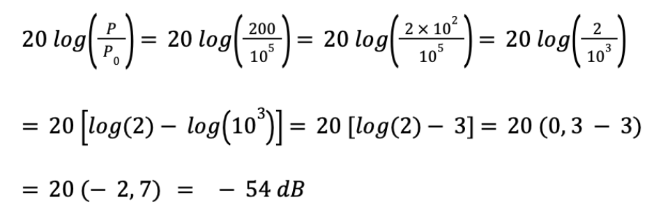
Dans sa diapo le Pr. y est allé étape par étape en séparant les différents facteurs mais tu peux appliquer la formule directement comme je l'ai fait ci-dessous :
➣ en utilisant les données imposées on trouve :

- Capture d’écran 2023-12-03 à 18.47.31.png (65.5 Kio) Consulté 9114 fois
Voilà dis moi si c'est plus clair pour toi ! Sinon n'hésite pas à me relancer ou à venir nous voir ce mercredi à la dernière perm tuteur avant l'ECB
