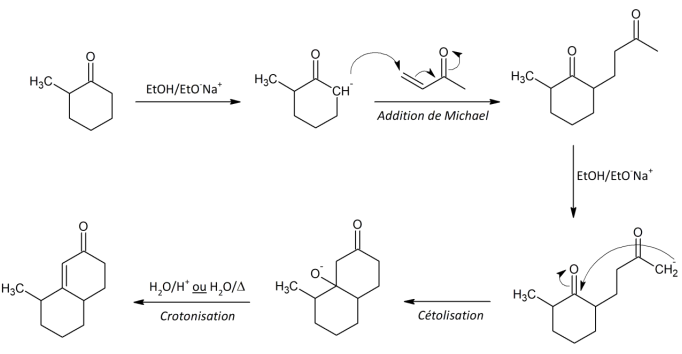
Salut Aurélia ! J’espère que tu vas bien
Alors je te mets la réaction complète détaillée juste ici et nous allons revoir ça étape par étape.

- Capture d'écran 2023-11-28 113244.png (39.19 Kio) Consulté 2200 fois
Le produit de départ de l’Annélation de Robinson est toujours une cétone.
Etape 1 : formation d’un carbanion
La première étape consiste en
l’ajout d’une base. Comme tu le sais la première chose qu’une base va faire c’est réagir avec un acide, tu cherches donc quel pourrait être l’acide qui va réagir ici. Il est très important de noter que
tous les hydrogènes en alpha d’un carbonyle sont acides, une base va donc arracher l’un d’eux.
Maintenant comment savoir quel hydrogène va être arraché ? En fait lorsqu’on arrache un hydrogène ça forme un carbanion, on cherche donc à former
le carbanion le plus stable. Petit rappel sur la stabilité des carbanions :
I > II > III.
/!\ Le carbanion peut être stabilisé par mésomérie si une double liaison ou un groupement -M se trouve en alpha de celui-ci, dans ce cas-là ce carbanion sera le plus stable. /!\
A l’issue de la première étape tu as donc formé un
carbanion le plus stable possible en alpha du carbonyle.
Etape 2 : addition 1,4 de Michael
La deuxième étape consiste en
l’ajout d’une cétone vinylique. Tu as un carbanion qui est nucléophile et comme tu le sais un nucléophile réagit avec un électrophile,
le – attaque toujours le +. Tu cherches donc ce qui joue le rôle d’électrophile.
Une cétone vinylique présente 2 sites électrophiles : le carbone du carbonyle (addition 1,2) et le carbone de la double liaison (addition 1,4). Tu peux faire l’analogie avec les organomagnésiens. Dans le cas d’une
Annélation de Robinson c’est
toujours l’addition 1,4 qui a lieu ! Il y a donc une étape de mésomérie puis de tautomérie et le carbonyle est conservé.
A l’issue de la deuxième étape tu as donc formé
une molécule contenant 2 cétones.
Etape 3 : formation d’un carbanion
La troisième étape est la même que la première, on
réutilise une base qui va encore une fois arracher un hydrogène acide en alpha d’un carbonyle. Cette fois tu as 2 carbonyles donc tu as plus de choix mais on cherche toujours à former le
carbanion le plus stable, ici ce sera le primaire en bout de chaine.
A l’issue de la troisième étape tu as
une molécule avec 2 cétones et un carbanion en alpha de l’une d’elle.
Etape 4 : cyclisation intramoléculaire
La quatrième étape est une
réaction intramoléculaire ne nécessitant pas de réactifs. Il ne faut pas que ça te perturbe parce que c’est intramoléculaire, c’est comme une réaction entre 2 molécules avec un nucléophile et un électrophile. Ici
le carbanion est le nucléophile et
le carbone du carbonyle est l’électrophile donc une réaction peut avoir lieu ! Une liaison se crée et comme dans ce cas c’est au sein de la même molécule, ça va naturellement faire un cycle.
Cette réaction intramoléculaire est ici une
cétolisation puisque c’est bien un carbanion en alpha d’une cétone qui attaque une autre cétone et conduit à un cétol.
A l’issue de la quatrième étape tu as donc
une molécule cyclique avec une cétone et un alcoolate.
Etape 5 : crotonisation
La cinquième étape consiste en
l’ajout d’eau en milieu acide ou en présence de chaleur. Cela permet une déshydratation de la molécule donc un
départ d’eau et la
formation d’une double liaison. C’est en fait l’alcoolate qui va partir et la double liaison sera formée de façon à être
la plus stable possible. Elle va donc se faire en alpha du carbonyle ainsi elle sera stabilisée par mésomérie.
A l’issue de la cinquième étape tu as
une molécule cyclique avec un carbonyle α,β insaturé.
Voilaaaa on est arrivé au bout de cette réaction qui j’espère n’a plus de secret pour toi
J’espère avoir pu t’éclairer et que tu comprends mieux maintenant, sinon n’hésites pas à venir nous voir en perm tuteurs
Toute la team de chimie orga te souhaite bon courage <3