Coucouuu 1023, j'espère que tu vas bien,
Je tiens d'abord à m'excuser pour cette réponse si tardive, mais je te reprends les points de la réaction de Dieckmann pour que ce soit clair pour toi :

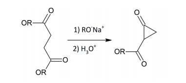
La réaction de Dieckmann se réalise sur un
diester, c'est à dire une molécule comportant 2 esters (et non 2 esters séparés). Elle sert à obtenir un composé
cyclique comportant une cétone et un ester, grâce à l'utilisation de 2 réactifs :
- 1) RO-Na+(la base)
- 2) H30+

- Capture d’écran 2020-11-14 à 09.12.25.png (22.88 Kio) Consulté 2628 fois
Pour comprendre le mécanisme de la réaction, la base va venir arracher un hydrogène et enlever un OR' afin de constituer un
cycle.
ps : pour être sûr du nombre de carbone de ton cycle, il faut que tu comptes les carbones de la chaine reliée à un de tes esters (ici 3 carbones, d'où le cycle triangulaire à 3 C).

Afin de d'éviter que la base arrache trop d'hydrogènes en alpha du carbonyle, il faut hydrolyser avec H30+. Cela sert aussi à ne plus avoir la
forme énolate par laquelle tu passes en composé intermédiaire.
Tu obtiens finalement une molécule cyclique avec un ester et une cétone présents sur ton cycle.
Voilàààà, j'espère avoir correctement répondu à ta question, sinon n'hésite pas
Toute la team chimie orga te souhaite bon courage pour tes révisions, lâche rien c'est la dernière ligne droite, plein de love <333