Salut salut Amel !
Alors reprenons les points sur l'oxydation des alcools ensemble
Il existe deux types d'oxydation sur les alcools :
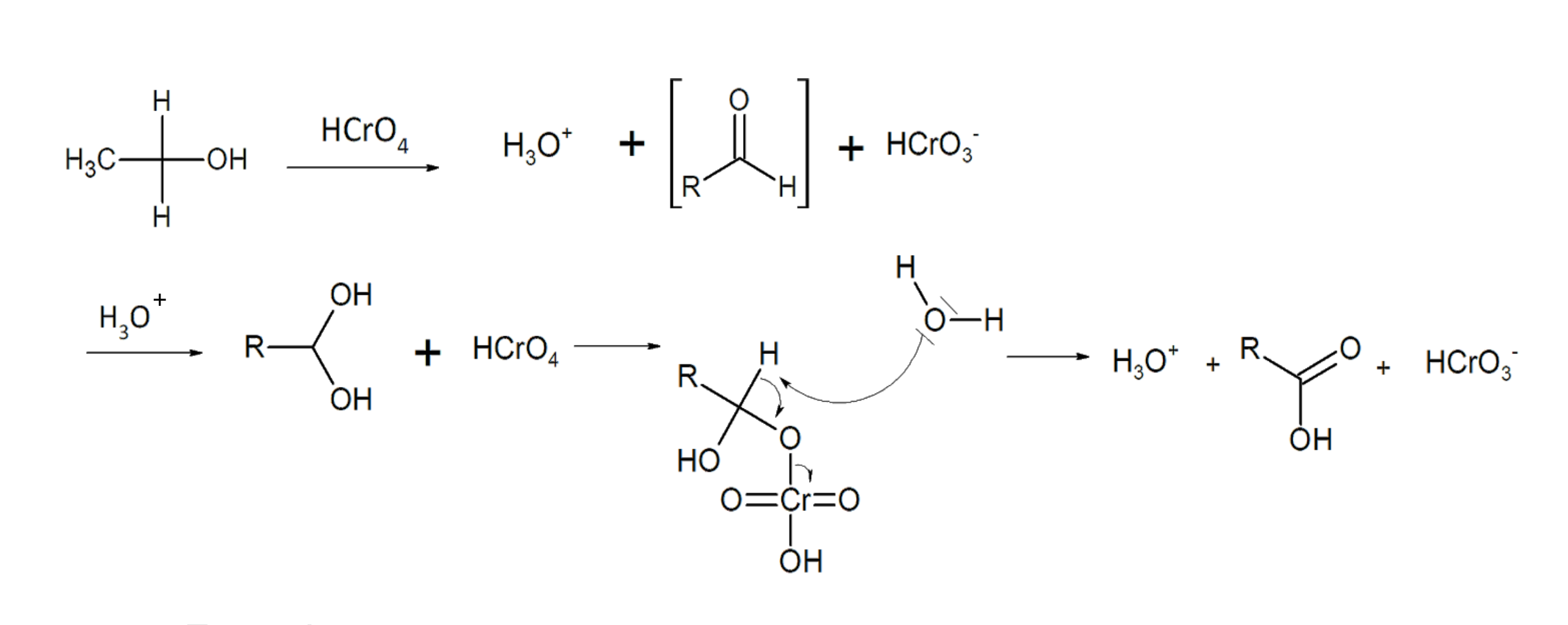
L'oxydation de Jones : dont le réactif est H2CrO4 équivalent à CrO3, H2SO4, H2O ou bien NaCr2O7, H2SO4, H2O.

Elle permet l'oxydation des alcools primaires en acide carboxylique

Elle permet l'oxydation des alcools secondaires en cétone
L'oxydation de Sarett : dont le réactif est CrO3, pyridine

Elle permet l'oxydation des alcools primaires en aldéhyde

Elle permet l'oxydation des alcools secondaires en cétone
NB : Les alcools tertiaires ne peuvent pas être oxydé !
Voilà selon moi les informations essentielles qu'il te faut retenir au-delà du mécanisme de la réaction !
Concernant l'oxydation de Jones sur les alcools primaires, comme il me semble que c'est ce qui te pose problème, je te met à disposition le mécanisme réactionnel développé par maîtresse lors de son cours si cela peut t'aider :

- Capture d’écran 2020-11-12 à 11.21.57.png (240.7 Kio) Consulté 3166 fois
Si le mécanisme ne suffit pas à répondre à ta question n'hésites pas à me le signaler en réponse
En attendant je t'envoie plein de courage de la part de toute la team organique !

N'hésites pas à revenir vers nous pour d'autres questions !