Salut amel dy !
Je vais te faire une correction plus approfondie pour trouver la configuration des carbones 2 et 3 du QCM 4. 
 
			
		
				
			
 
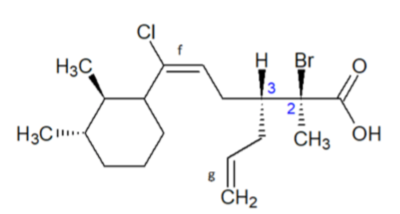
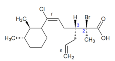
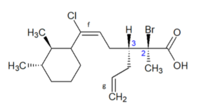
						- sujet qcm 4.png (31.56 Kio) Consulté 2410 fois
 
		
		
		
		
			 
 
 Carbone 2 :
Pour trouver sa configuration, on va d'abord déterminer si le substituant "d" est en avant ou en arrière du plan. Ici, il est en arrière du plan (pointillés), il n'y a donc pas d'inversion du sens de rotation. 
Ensuite, on va déterminer l'ordre des substituants. Le "a" correspond au Br (prioritaire par rapport aux carbones), le "b" correspond au substituant de droite avec l'acide carboxylique, le "c" représente le substituant (de gauche) avec le cycle à la fin. Et enfin, le "d" correspond au CH3 qui est en arrière du plan. La flèche va donc suivre le chemin suivant : a -> b -> d -> c. 
Le carbone 2 est donc de 
configuration R.
 
 Carbone 3 :
On va faire de même avec le carbone 3. Ici, le substituant "d" est en avant du plan (trait plein), ainsi on inversera le sens de rotation déterminée. 
On peut donc dire : 
- "a" = substituant de droite (celui avec le carbone 2)
- "b" = substituant de gauche avec le cycle à la fin
- "c" = le substituant du bas avec l'oléfine g
- "d" = hydrogène en avant du plan
Ainsi, la flèche va tourner dans le sens suivant : a -> d -> b -> c
Le carbone est de configuration S mais comme on doit inverser le sens de rotation à cause du composé d qui est en avant du plan, le carbone 3 est donc de 
configuration R.
			
		
				
			
 
						- correction qcm 4.png (40.18 Kio) Consulté 2410 fois
 
		
		
		
		
			 
Petit tips :  pour savoir comment tourne la flèche, il faut toujours faire le plus court chemin entre a et b. Et ensuite, on rejoint c. 
Parfois, le substituant "a" a 2 possibilités de passage (quand a est en haut par exemple et b en bas). Il faut choisir le chemin a -> d -> b -> c car il permet de rejoindre b et de rejoindre plus rapidement c que l'autre chemin (a -> c -> b -> c -> d).
NB :  Quand tu commences à tourner dans un sens, tu ne peux pas changer de sens quitte à faire plusieurs tours  
 
J'espère avoir été claire ! N'hésites pas si tu as d'autres questions ou si tu veux une autre explication  
 
Toute la team de chimie orga te souhaite bon courage <3