Saluuuut alixpa
Tout d'abord j'espère que tu vas bien,
Pour répondre à ta question je vais te faire un rappel sur SN1 et SN2 afin que tu différencies bien les deux

Pour une SN1 :
C'est une réaction
unimoléculaire qui passe par l'intermédiaire d'un
carbocation. L’ordre de réactivité dans cette réaction SN1 est le suivant :
très bien avec les halogénures d’alkyles
tertiaires (++++),
bien avec les
secondaires (++) et
pas du tout avec les primaires.
Cette réaction n'est
pas stéréospécifique et est accompagnée d'une réaction d'élimination E1.

- Capture d’écran 2020-11-27 à 09.34.52.png (31.75 Kio) Consulté 3102 fois

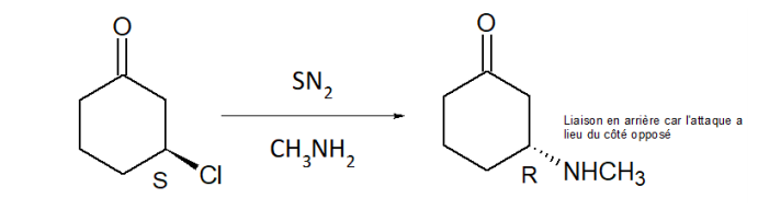
Pour une SN2 :
C'est une réaction
bimoléculaire. L’ordre de réactivité dans cette réaction SN2 est le suivant :
très bien avec les halogénures d’alkyles
primaires (++++),
bien avec les
secondaires (++) et
pas du tout avec les tertiaires. Cette réaction possède une particularité :
l'inversion de Walden. Cela signifie que lorsqu'elle a lieu, il y a inversion du sens de configuration du carbone asymétrique qui porte l'halogène initial (s'il est asymétrique, sinon cette invasion n'a pas lieu).
Cette réaction est accompagné d'une TRANS-élimination nommée E2.

- Capture d’écran 2020-11-27 à 09.38.23.png (30.56 Kio) Consulté 3102 fois

Ainsi, pour ton QCM, afin de savoir s'il s'agit d'une SN1 ou d'un SN2, il faut donc que tu regardes ton halogénure d'alkyle:
- si il est tertiaire (ton halogène est lié à un carbone qui est lui-même lié à 3 autres carbones), une SN1 sera réalisée.
-si il est primaire (ton halogène est lié à un carbone qui est lui-même lié à 1 autre carbone), c'est une SN2 que tu feras.
ps : dans le cas où tu aurais un halogénure d'alkyle secondaire, tu auras alors un indice pour savoir comment t'orienter comme par exemple une inversion de Walden pour te montrer que tu fais face à une SN2
Ici, ton brome est relié à un carbone tertiaire, tu dois donc faire une
SN1 !
J'espère avoir répondu à ta question, sinon n'hésites pas
Bon courage pour tes révisions de la part de toute la team !! Lâches rien, plein de loooove <33